Ensambles de polen moderno y fósil en la sierra Occidental de Jalisco; ~ 1,500 años de historia de la vegetación y cambio ambiental
Modern and fossil pollen assemblages in the Sierra Occidental of Jalisco; ~ 1,500 years of history of the vegetation and environmental change
Ana Patricia del Castillo-Batistaa, *, Blanca Lorena Figueroa-Rangela, Socorro Lozano-Garcíab, Ramón Cuevas-Guzmána, Miguel Olvera-Vargasa y Lia Hueso-Vidrioc
a Universidad de Guadalajara, Laboratorio de Paleoecología y Cambio Climático, Departamento de Ecología y Recursos Naturales, Centro Universitario de la Costa Sur, Av. Independencia Nacional Núm. 151, 48900 Autlán de Navarro, Jalisco, México
b Universidad Nacional Autónoma de México, Instituto de Geología, Laboratorio de Paleoecología, Paleoclimatología y Cambio Climático, Departamento de Dinámica Terrestre Superficial, Ciudad Universitaria, Coyoacán, 02376 Ciudad de México, México
c Universidad de Guadalajara, Ingeniería en Recursos Naturales y Agropecuarios, Departamento de Ecología y Recursos Naturales, Centro Universitario de la Costa Sur, Av. Independencia Nacional Núm. 151, 48900 Autlán de Navarro, Jalisco, México
*Autor para correspondencia: ana.delcastillo@academicos.udg.mx (A.P. del Castillo-Batista)
Recibido: 15 agosto 2025; aceptado: 30 octubre 2025
Resumen
La sierra de Cacoma, Jalisco, es una región de alta diversidad florística y endemismo situada en una zona de transición biogeográfica (2,119 m snm), donde convergen elementos templados y tropicales. Analizamos la relación entre la composición taxonómica del polen moderno y fósil, así como los cambios ambientales en un bosque de Pinus–Quercus–Abies de La Cumbre de Guadalupe (Talpa de Allende, Jalisco, México). Se analizaron 22 muestras de polen moderno, 62 de polen fósil y la estructura de la vegetación en 14 parcelas de 500 m2. Aplicamos los índices de asociación palinológica de Davis, la diversidad de Hill y una similitud basada en la distancia cordal. Los últimos ~ 1,580 años muestran un intervalo de mayor similitud (~ 850 y 400 años cal AP) intercalado por episodios de cambio (~ 1,500, 1,000 y 300 años cal AP), congruentes con transiciones climáticas del Holoceno tardío. En el periodo reciente, incendios y deforestación han favorecido la homogeneización de la vegetación. Estos resultados documentan las respuestas de bosques templados a forzamientos climáticos y antrópicos a escala centenaria y resaltan el valor de integrar lluvia de polen moderno, registros fósiles y métricas de diversidad.
Palabras clave: Actividad antrópica; Bosques templados; Holoceno tardío; Lluvia de polen
Abstract
The Sierra de Cacoma, Jalisco is a region of high floristic diversity and endemism located in a biogeographic transition zone (2,119 m asl), where temperate and tropical elements converge. We analyzed the relationship between the taxonomic composition of modern and fossil pollen and environmental changes in a Pinus-Quercus-Abies forest at La Cumbre de Guadalupe (Talpa de Allende, Jalisco, Mexico). We analyzed 22 modern pollen samples, 62 fossil pollen samples, and vegetation structure in 14 plots (500 m² each). We applied Davis palynological association indices, Hill diversity, and a dissimilarity analysis based on chord distance. The past ~ 1,580 years show an interval of greater similarity (~ 850-400 cal yr BP) interspersed with episodes of change (~ 1,500, 1,000, and 300 cal yr BP), consistent with Late Holocene climatic transitions. In the recent period, fires and deforestation have promoted vegetation homogenization. Overall, these results document the response of temperate forests to climatic and anthropogenic forcing at centennial scales and highlight the value of integrating modern pollen rain, fossil records, and diversity metrics to interpret vegetation and environmental history.
Keywords: Anthropogenic activity; Temperate forests; Late Holocene; Pollen rain
Introducción
Las comunidades vegetales actuales incorporan señales del cambio climático acumuladas a múltiples escalas temporales que son evidentes en la distribución, fenología, dinámica demográfica y composición florística, pero su estructura y trayectoria también responden a otros motores de cambio, como el uso de suelo, régimen de incendios, especies invasoras, perturbaciones antrópicas y variabilidad natural (Jackson y Overpeck, 2000). Estos forzamientos configuran patrones contemporáneos, en los que el clima es determinante. En este contexto, el análisis de polen fósil preservado en sedimentos de hondonadas forestales es una herramienta robusta para reconstruir la historia de la vegetación y su ambiente (Calcote, 1995; Figueroa-Rangel et al., 2020). Los registros polínicos documentan cambios en la composición taxonómica a través del tiempo (Figueroa-Rangel et al., 2016) y mediante un enfoque espacio-temporal, la paleoecología permite interpretar la dinámica de los ecosistemas y las respuestas de la vegetación frente a variaciones y perturbaciones ambientales (Trivi de Mandri et al., 2006).
La reconstrucción paleoecológica se basa en el supuesto de que existe una estrecha relación entre las especies de plantas presentes en el bosque y el polen que éste produce (Erdtman, 1943; Faegri e Iversen, 1989). El polen se libera y se dispersa durante la maduración y apertura de los sacos polínicos y es depositado como sedimento en capas del suelo donde se preserva en condiciones ambientales adecuadas (húmedas y anóxicas). Al analizar los conjuntos de polen fósil presentes en estos sedimentos, es posible inferir la composición de la vegetación que existió en el pasado. Así mismo, la lluvia de polen moderno desempeña un papel importante para comprender la representación del polen en las secuencias sedimentarias y calibrar la interpretación basada en estos registros. El análisis de los conjuntos de polen moderno permite establecer la relación entre la abundancia relativa del polen y la presencia de diferentes especies de plantas en la vegetación actual (Rodríguez-Pérez et al., 2025). Lo que contribuye a mejorar la interpretación de los conjuntos de polen fósil y una comprensión más precisa de los cambios de la vegetación a lo largo del tiempo (Lozano-García et al., 2014).
La abundancia de polen en los sedimentos resulta de la interacción de factores biológicos de las especies fuente como la productividad, modo de dispersión y preservación a través del tiempo (Davis, 1984), además de factores ecológicos locales que integran la estructura de la vegetación desde el rodal hasta su entorno inmediato (diámetro y altura de los árboles, área basal, densidad, frecuencia, composición y fenología), modulando el transporte y la deposición del polen (Davies y Fall, 2001; Faegri e Iversen, 1989), y así mismo de las condiciones físicas de los sedimentos del sitio como el tamaño y morfología del sustrato, oxidación y frecuencia de inundación (Davies y Fall, 2001; Faegri y van der Pijl, 1979; Proctor et al., 1996); finalmente, de las características climáticas y la calidad de la identificación palinológica (Escarraga-Paredes et al., 2014). Por lo tanto, el análisis del polen fósil y el estudio de las lluvias de polen moderno son herramientas complementarias que permiten reconstruir la historia de la vegetación y su ambiente, especialmente en regiones donde no se dispone de información sobre la producción y dispersión de polen (Wright, 1967).
Para comprender mejor la dinámica de la vegetación, es necesario abordarla desde una perspectiva espacio-temporal, donde diferentes procesos físicos y biológicos influyen en los patrones observados en cada escala temporal. Las respuestas de la vegetación a corto plazo se pueden interpretar a través de eventos como incendios, huracanes, enfermedades y extracción de madera, mientras que a largo plazo están involucrados los mecanismos de perturbación ambiental y el desarrollo evolutivo (Delcourt et al., 1983). La escala espacial permite comprender cómo los diferentes tipos de vegetación cercanos geográficamente responden de forma diferenciada en eventos de corto o largo plazo, tales como los regímenes de perturbación y fluctuaciones climáticas (Figueroa-Rangel y Olvera-Vargas, 2018). En este sentido, se han realizado diversos estudios con el uso de polen fósil para reconstruir la historia de la vegetación y el clima en el occidente de México, durante el Holoceno tardío (Figueroa-Rangel et al., 2008; Lozano-García et al., 2021). Estos estudios han proporcionado herramientas para evaluar la paleovegetación y los escenarios climáticos en las regiones de alta montaña y en las regiones tropicales. Sin embargo, se ha prestado poca atención a la comprensión de las relaciones cuantitativas entre la lluvia de polen y la vegetación moderna para la interpretación de la historia de la vegetación y el clima con base en datos de polen fósil.
Un área de gran importancia para realizar estudios que combinen registros de polen fósil y moderno es la región de la sierra de Cacoma, ubicada en el occidente de México. Esta región se destaca por su alta diversidad biológica y endemismo de flora y fauna (Conabio, 2010). Se encuentra en una zona de transición biogeográfica con un rango altitudinal de 650 a 2,740 m, con zonas de transición entre tipos de vegetación templada y tropical (INEGI, 2015). Las zonas de mayor elevación comprenden topografías abruptas, con valles y barrancas profundas que forman microclimas que han servido de refugio para varias comunidades de plantas (Amador-Cruz et al., 2024). Por lo tanto, el presente estudio tiene como objetivo evaluar, mediante el análisis de ensambles de polen moderno y su correspondencia con la estructura de la vegetación, si el espectro de polen fósil refleja los patrones de la distribución actual de la vegetación. Para ello, se plantean los siguientes objetivos: 1) caracterizar la composición taxonómica y la representatividad de la lluvia de polen moderno en el bosque de Pinus–Quercus–Abies en la localidad de La Cumbre de Guadalupe en el municipio de Talpa de Allende, Jalisco, identificando los principales taxones y su relación con la vegetación fuente, 2) analizar la correspondencia entre la estructura de la vegetación actual y la señal polínica mediante análisis cuantitativos de la abundancia del polen moderno y 3) comparar la similitud taxonómica entre los ensambles de polen moderno y fósil de los últimos ~ 1,580 años. Este enfoque permitirá fortalecer la interpretación de los registros paleoecológicos en la región y contribuir al conocimiento sobre las relaciones entre la vegetación actual y la señal polínica moderna en los ecosistemas de alta montaña.
Materiales y métodos
El área de estudio se localiza en la sierra de Cacoma al occidente de Jalisco, México, en la localidad denominada La Cumbre de Guadalupe, una región de confluencia entre la cordillera del Eje Neovolcánico Transversal y la sierra Madre del Sur (fig. 1). Corresponde a una elevación de 2,119 m y se extiende hasta el litoral del Pacífico y la costa del occidente de México (INEGI, 2015). Es una zona de gran complejidad geomorfológica y litológica con afloramientos rocosos formados a partir de procesos tectónicos durante el Cretácico (Conabio, 2010). En el área de estudio domina el tipo de roca ígnea extrusiva, donde la unidad geomorfológica comprende laderas de montaña con pendientes de mediana a muy fuertemente inclinadas (Rodríguez-González, 2015). Los tipos de suelo dominantes son Cambisol y Regosol (INEGI, 2015). Presenta un clima templado subhúmedo, con una temperatura media anual de 14.2 °C. La temperatura media del mes más cálido (mayo y junio) es de 16.7 °C, mientras que la temperatura media del mes más frío es 10.8 (enero y febrero), con una precipitación promedio anual de 2,003 mm con lluvias en verano. La precipitación está concentrada entre mayo a septiembre (Estación 14271, Servicio Meteorológico Nacional, Conagua, 2025). Las principales actividades productivas son la agricultura de temporal, con apertura de áreas para el establecimiento de pastizales, la minería y la extracción de madera (Vargas-Rodríguez et al., 2010).
El bosque de Pinus–Quercus–Abies es una asociación vegetal con distribución restringida cerca del límite altitudinal de la vegetación arbórea (Cuevas-Guzmán et al., 2011; del Castillo-Batista et al., 2018). En diversos estudios florísticos de la zona se ha encontrado una alta diversidad florística para numerosas formaciones vegetales de alta montaña, entre ellas el bosque de Pinus con diferentes asociaciones vegetales (Cuevas-Guzmán et al., 2011; Guerrero-Hernández et al., 2014, 2019). Los tipos de bosque de alta montaña son representados principalmente por bosques de coníferas, donde los géneros representativos son Pinus, Abies, Cupressus, Juniperus y algunas latifoliadas como Quercus, Alnus y Arbutus (Perry et al., 1998).
La diversidad florística del área de estudio corresponde a un tipo de vegetación dominado en el estrato arbóreo por Abies jaliscana, A. religiosa, Alnus acuminata, A. jorullensis, Arbutus xalapensis, Carpinus tropicalis, Clethra fragrans, Pinus devoniana, P. douglasiana, P. oocarpa, P. jaliscana, P. herrerae, P. pseudostrobus, Podachaenium eminens, Quercus castanea, Q. calophylla, Q. scytophylla, Q. magnoliifolia, Q. obtusata y Ternstroemia lineata. Se encuentran algunos arbustos dominantes como Archibaccharis serratifolia, Baccharis heterophylla, B. pteronioides, Fuchsia microphylla, Mimosa albida, Monnina ciliolata y Salvia iodantha. El componente herbáceo es diverso, como Amaranthus palmeri, Chenopodium ambrosoides, Iresine diffusa, Antigonon flavescens, Eryngium alternatum, Bidens odorata, B. aurea, Dahlia coccinea, Ageratina choricephala, Fuchsia fulgens, Rumfordia floribunda, Melampodium perfoliatum, Piqueria triflora, Tagetes filifolia, T. lucida, Crotalaria filifolia, C. mollicula, Dalea obreniformis. Por lo que en este estudio nos referimos a este tipo de vegetación como bosque de Pinus–Quercus–Abies (BPQA) por ser los taxones dominantes.

Se realizó un inventario de la vegetación leñosa en 14 parcelas circulares de 500 m2 cada una, siguiendo el protocolo estándar de Olvera-Vargas y Figueroa-Rangel (2023). Cada parcela se ubicó a una distancia mínima de 50 m respecto de las demás. En cada una se registraron datos ambientales y de localización (localidad, coordenadas, elevación, exposición y pendiente) (material suplementario: tabla S1). Para todos los taxones leñosos con diámetros ≥ 2.5 cm arriba de 1.30 m del nivel del suelo (DN). Con estas mediciones se estimaron indicadores estructurales a nivel de parcela, incluyendo densidad (individuos ha-1) y área basal (m2 ha-1). Se recolectaron ejemplares de herbario para confirmar la determinación taxonómica de las especies. La clasificación de familias siguió el sistema Angiosperm Phylogeny Group IV (2016) y la actualización nomenclatural se verificó en la base de datos Tropicos (www.tropicos.org). Este diseño y conjunto de métricas permiten caracterizar de manera comparable la estructura y composición de la vegetación en el área de estudio.
Se recolectaron 22 muestras de polen moderno dentro de las parcelas para evaluar la relación polen-vegetación a escala local (tabla S1). En cada parcela se establecieron subparcelas de 1 m2, dentro de las cuales se obtuvieron muestras de sedimento superficial (suelo y musgo) a una profundidad de 0-5 cm (Hjelle, 1999). Cada muestra se almacenó para su posterior extracción y análisis. Dado que los ambientes de depósito reciben polen de fuentes locales y regionales, el espectro palinológico está condicionado por procesos tafonómicos modulados por el clima y las propiedades del suelo, lo que afecta la relación polen-vegetación observada (Jacobson y Bradshaw, 1981). En este contexto, asumimos que la señal obtenida es representativa del ecosistema fuente a la escala de captura de nuestros sustratos. Si bien superficies extensas como lagos y humedales maximizan el componente regional y facilitan el vínculo con paleorregistros (Markgraf et al., 2002; Ortuño et al., 2011), el muestreo de sedimento superficial aporta la resolución local necesaria para calibrar e interpretar esa señal más integrada en el sitio de estudio.
Con la finalidad de comparar la relación entre el polen moderno y fósil, se extrajo un núcleo de sedimento que abarca los últimos 1,580 años en el BPQA (del Castillo-Batista et al., 2018). El muestreo consistió en la extracción de un núcleo de sedimento de 62 cm de profundidad con un taladro Eijelkamp (“forest hollow”, sensu Calcote 1995, 1998), en un área abierta del bosque a 2,119 m de elevación en la localidad de La Cumbre de Guadalupe (20°10’17.82” N, 104°42’42.32” O) (fig. 1). Se tomaron muestras de sedimento cada 1 cm para su análisis. La cronología se determinó con base en 4 fechados radiocarbono 14C por medio de la técnica AMS (por sus siglas en inglés, accelerator mass spectrometer) en el laboratorio Beta Analytic, Miami, Florida. Para la calibración en años calendáricos fueron utilizados los programas INCAL04.14 y CALIB v.5.02 de Stuiver y Reimer (Stuiver y Reimer, 1993). Para elaborar la cronología se obtuvo un modelo edad-profundidad por interpolación lineal de acuerdo con el método de Bennett (1994), con el apoyo del software Psimpoll (v. 4.25), lo que permitió estimar la tasa de sedimentación promedio de 25 años/cm.
Para la extracción de polen moderno y el polen fósil de las secuencias sedimentarias, se siguió un protocolo estándar de acetólisis Bennett y Willis (2001). Se agregó una pastilla de Lycopodium clavatum L. (Batch 3862) a cada muestra con el fin de estimar la concentración de granos de polen por cm3 (Stockmarr, 1971). Para obtener el tamaño de muestra estadísticamente significativo, se contabilizaron 400 granos de polen por muestra (Maher, 1972). La determinación de polen y esporas se realizó utilizando la colección de referencia palinológica “The Mexican reference collection of Global Pollen Project” (Figueroa-Rangel, 2017), además de claves palinológicas y bibliografía especializada. Para armonizar la resolución taxonómica entre los ensambles de polen fósil y moderno (en los que no siempre es posible asignar el nivel taxonómico de especie) se elaboró una tabla de equivalencias (material suplementario: tabla S2) que vincula cada tipo de polen moderno con sus especies vegetales potencialmente representadas, agrupadas por forma biológica. Los conteos de polen se expresaron como la suma total en porcentaje del polen de árboles, arbustos, herbáceas y esporas de Pteridophyta sensu lato, consideradas en este trabajo como abundancia de polen (Bennett y Willis, 2001). El polen desconocido se contó, pero fue excluido de la suma total de polen en ambos ensambles. El diagrama de polen fósil se elaboró en Psimpoll (v. 4.25) (Bennett, 2005), mientras que, el de polen moderno en el programa Tilia Graph (Grimm, 2020).
La contribución de cada una de las especies encontradas en la vegetación se estimó utilizando el índice de valor de importancia (IVI) para árboles (Matteucci y Colma, 1982; Whittaker, 1967). Este índice es un valor ponderado de la estructura del bosque, se calcula sumando las variables estructurales de la densidad relativa (número de árboles del taxón dividido entre el número total de árboles de todos los taxones), la frecuencia relativa (número de muestras en las que el taxón aparece dividido entre el número total de muestras) y el área basal relativa (área basal total del taxón dividida entre el área basal total de todos los taxones) (Cottam y Curtis, 1956). De esta manera, el IVI proporciona una medida de la importancia relativa de cada especie en el rodal. Así mismo, para el componente arbóreo se estimó la media de diámetro y altura por especie de todas las parcelas muestreadas.
Para describir la distribución de los diámetros y las alturas de las especies arbóreas en las parcelas muestreadas, se estimó la media del diámetro a la altura de 1.30 m (DN) y la altura total por especie. Se utilizaron diagramas de caja y bigote para identificar la mediana, los cuartiles (Q1 y Q3), el rango intercuartílico y la presencia de valores atípicos, proporcionando información sobre la variabilidad y la tendencia central de cada variable. El análisis fue realizado mediante el software estadístico R Project 3.6.1 (Ihaka y Gentleman,1993).
Para analizar la relación entre las especies y las parcelas basados en el método de Olvera-Vargas y Figueroa-Rangel (2023) se realizó un Análisis de Conglomerados. Es una técnica estadística multivariada que tiene como objetivo agrupar elementos o variables para lograr la máxima homogeneidad dentro de cada grupo y la mayor diferencia entre los grupos. Se trata de una clasificación jerárquica aglomerativa (Clarke y Gorley, 2015). Se utilizó la matriz de densidad de las especies, la cual fue transformada con una doble raíz cuadrada para mejorar la ponderación de las especies raras y abundantes. El análisis se realizó utilizando la medida de distancia Bray-Curtis y como método de unión de grupos de los promedios ponderados, con el apoyo del software PRIMER V.7 (Clarke y Gorley, 2015).
Utilizando datos de presencia-ausencia del polen moderno y de la vegetación, se calcularon 3 índices de asociación R (Davis, 1984), el índice de asociación (A), el índice de sobrerrepresentación (O) y el índice de subrepresentación (U). Estos índices permiten determinar si los taxones están presentes de manera simultánea, tanto en el conjunto de polen como en la vegetación (León-Carreño et al., 2019). Se calcularon con las fórmulas que se describen a continuación:
A = B0 / P0 + P1 + B0
O = P0 / P0 + B0
U = P1 / P1 + B0
Donde B0 corresponde al número de parcelas en las que tanto el tipo polínico como el grupo vegetal asociado están presentes, P0 representa el número de parcelas en las que se registra el polen, pero la planta que lo produce no está presente en la vegetación, y P1 es el número de parcelas en las que el tipo de polen está ausente pero el taxón vegetal se encuentra presente en la vegetación. Los valores del índice de asociación varían entre 0 y 1; donde A = 1 indica que el tipo polínico y el taxón vegetal están siempre presentes y si A = 0, alguno de los 2 elementos se encuentra ausente en todos los levantamientos. Posteriormente, los valores de los índices de cada taxón se agruparon en las siguientes categorías: 1) tipo fuertemente asociado “TFA” cuando A > 0.65; 2) tipo asociado “TA”, cuando A varía entre 0.65 y 0.5; 3) tipo débilmente asociado “TDA”, donde A < 0.5 y además O y U son positivos; 4) tipo sobrerrepresentado “TOR”, cuando A < 0.5 y U = 0; 5) tipo subrepresentado “TUR”, con A < 0.5 y O = 0, y 6) tipo no asociado “TNA”, en donde A = 0, además O y U son positivos (Fjordheim et al., 2018).
La diversidad de taxones de los datos de polen moderno y fósil se estimó mediante la diversidad de Hill N0 sumando el número de taxones identificados en cada conjunto (Hill, 1973). Se calcularon los valores de diversidad de Hill N1 para obtener más información sobre las características de diversidad del polen. Esta métrica considera la riqueza de taxones en cada muestra y pondera cada taxón según su abundancia relativa. Asimismo, se seleccionó el número de Hill N2 para representar el número de taxones de polen fósil que son muy abundantes (dominantes) (Figueroa-Rangel et al., 2020). Estos cálculos se realizaron utilizando la librería “vegan” (Oksanen et al., 2010), disponible en el paquete estadístico R-v3.4.3 (R Core Team, 2019).
Con el propósito de comparar la composición taxonómica entre los ensambles de polen fósil con los de polen moderno, se aplicó la función de comparación de análogos múltiples (analog.mult), que calcula índices de distancia o disimilitud entre las muestras de polen fósil con el moderno. Para ello se utilizó la distancia cordal (square chord distance en inglés) mediante la librería “paleoMAS” (Correa-Metrio et al., 2015) disponible en R (R Core Team, 2019).
Resultados
Se registraron 6 familias, 8 géneros y 17 especies en las 14 parcelas analizadas. Las familias con más riqueza de especies fueron Pinaceae y Fagaceae. Los géneros más frecuentes presentes en las parcelas fueron: Pinus–Quercus–Abies. Pinus pseudostrobus fue la especie dominante en el dosel del rodal por su IVI (tabla 1), seguida por Abies jaliscana, Pinus devoniana, Quercus castanea y P. herrerae, todos ellos identificados como elementos importantes de acuerdo con su IVI. Por otro lado, Q. scytophylla, Q. magnoliifolia y P. douglasiana presentan los valores más bajos de IVI.
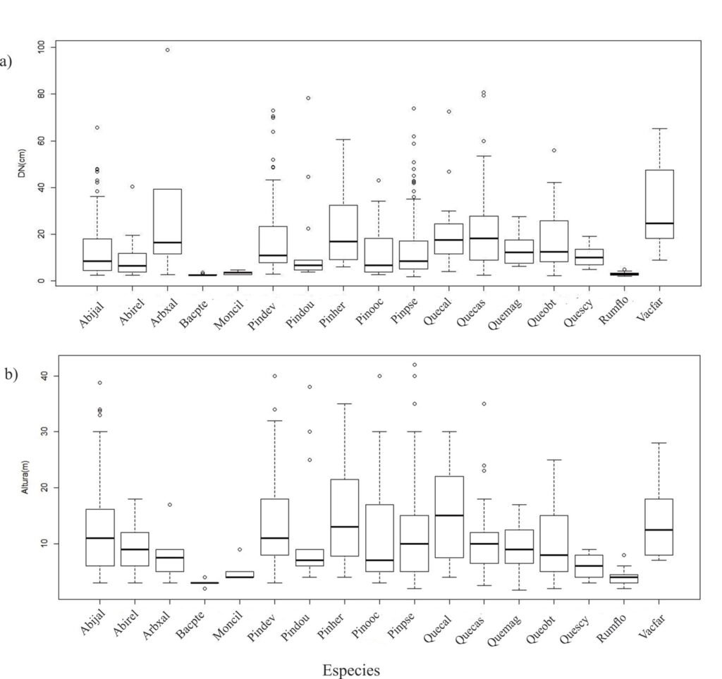
El análisis de cuartiles de los diámetros normales de las especies arbóreas muestra que la mayoría de los individuos presentan diámetros inferiores a 60 cm (fig. 2a). Se observa una notable dispersión en la mediana de Vachellia farnesiana, lo que indica una alta variabilidad en el diámetro de esta especie. En contraste, Baccharis pteronioides, Monnina ciliolata y Rumfordia floribunda presentan diámetros más bajos y menos dispersos. Además, Pinus devoniana, P. douglasiana y P. pseudostrobus concentran los valores de diámetros más altos entre las especies analizadas. En cuanto a las alturas, la mayoría de las especies registran valores inferiores a los 30 m (fig. 2b). Quercus calophylla se destaca por su variabilidad en la distribución de alturas, mientras que Baccharis pteronioides, Monnina ciliolata y Rumfordia floribunda presentan alturas significativamente menores y con menor dispersión.
La clasificación de las parcelas generó 4 grupos, mismos que se formaron para la clasificación de las especies. Cuando se presenta el resultado a través del dendrograma de sombras, se observó que algunas especies como Pinus pseudostrobus y P. devoniana se encuentran en los 4 grupos de parcelas, pero en general, hay coincidencia de grupos de especies con los grupos de parcelas. Abies religiosa, Rumfordia floribunda, Monnina ciliolata y Arbutus xalapensis presentaron sus mayores abundancias en la parcela P10 y P11, mientras que Quercus herrerae, Q. magnolifolia y Q. castanea tienen su mayor expresión en abundancias en las parcelas P01, P02, P07 y P08 (fig. 3).
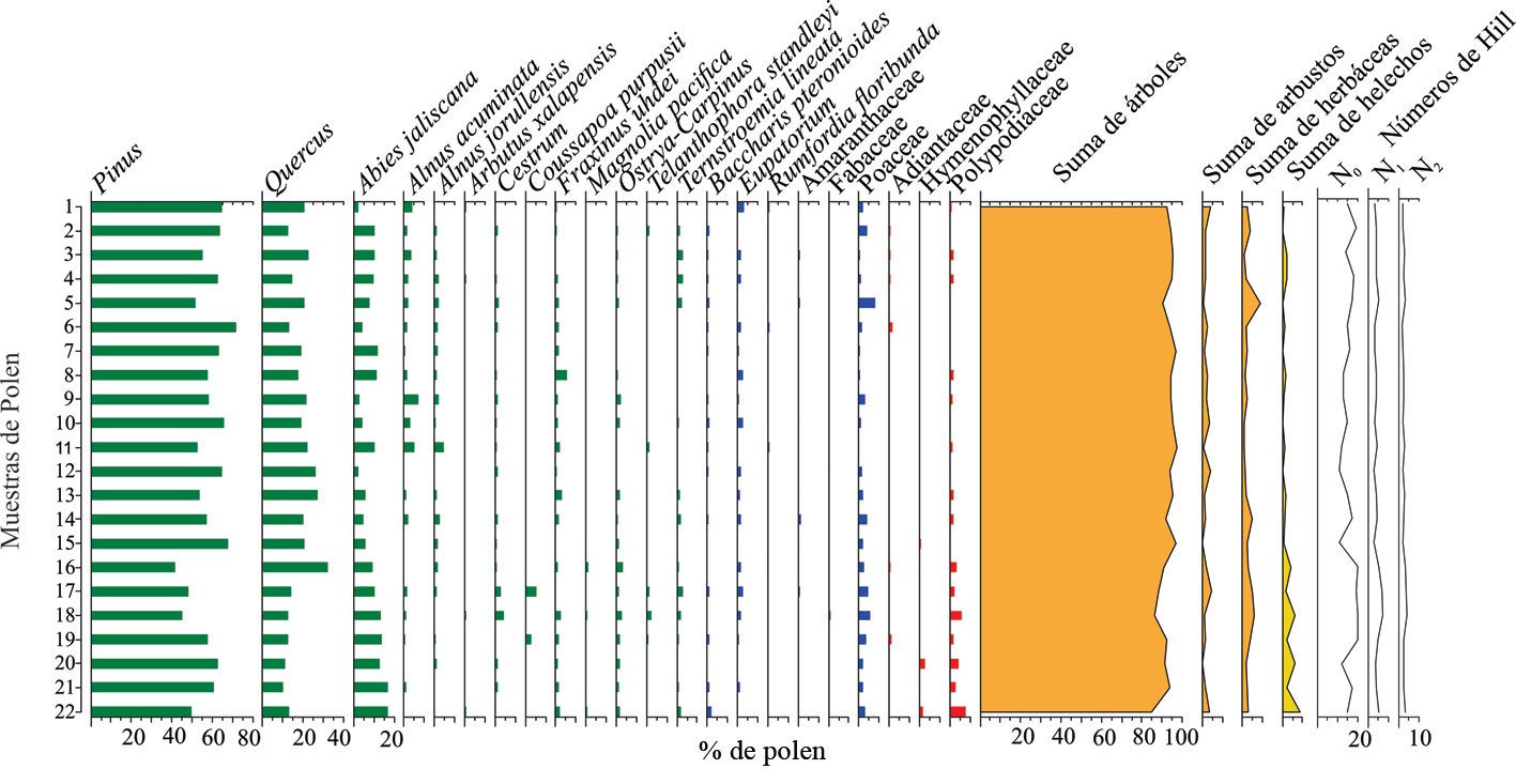
En el espectro polínico del bosque se identificaron 41 taxones, pertenecientes a 31 familias y 40 géneros, que incluyen árboles, arbustos, herbáceas y helechos (material suplementario: tabla S3). Pinus se registró como el taxón dominante en el estrato arbóreo, con más de 60% del espectro polínico. De manera similar, los taxones de Quercus (< 20%) y Abies (< 15%) se encontraron en todo el espectro polínico con porcentajes considerables. En el estrato herbáceo, Poaceae se registró como la más abundante, se encontró en todas las muestras con un porcentaje superior a 5%. Los taxones de Eupatorium (> 5%) y Baccharis (> 5%) se registraron con porcentajes bajos en el componente herbáceo. Polypodiaceae prevaleció con un porcentaje mayor a 5%. No obstante, el grupo de los helechos no alcanzó una representación importante en el espectro polínico (fig. 4).



El índice de Davis revela que la mayoría de los taxones polínicos se adscriben al grupo de tipo asociado (TOR); los taxones de polen de Pinus, Quercus, Abies, Arbutus xalapensis, Baccharis pteronioides y Rumfordia floribunda, pertenecen al grupo de tipo asociado (TA), mientras que Monnina ciliolata es el único que se encuentra en el tipo subrepresentado (TUR). Ningún taxón demostró ser fuertemente asociado (TFA) (tabla 2).
Tabla 1
Valores relativos para densidad (Dr), área basal (ABr) y frecuencia (Fr) en árboles del BPQA. Índice de valor de importancia (IVI) para árboles y arbustos.
| Familias | Especies | Dr (%) | ABr (%) | Fr (%) | IVI (%) |
| Asteraceae | Baccharis pteronioides (Bacpte) | 1.02 | 0.02 | 4.23 | 1.86 |
| Rumfordia floribunda (Rumflo) | 15.90 | 0.39 | 4.23 | 6.84 | |
| Ericaceae | Arbutus xalapensis (Axal) | 0.76 | 4.12 | 4.05 | 8.94 |
| Fabaceae | Vachellia farnesiana (Vacfar) | 0.76 | 2.80 | 1.41 | 1.66 |
| Fagaceae | Quercus calophylla (Quecal) | 1.53 | 3.48 | 5.63 | 3.54 |
| Quercus castanea (Quecas) | 5.98 | 12.84 | 9.72 | 9.51 | |
| Quercus magnoliifolia (Quemag) | 1.91 | 1.10 | 4.23 | 2.41 | |
| Quercus obtusata (Queobt) | 5.60 | 6.65 | 8.45 | 6.9 | |
| Quercus scytophylla (Quescy) | 0.89 | 0.34 | 1.41 | 0.87 | |
| Pinaceae | Abies jaliscana (Abijal) | 14.89 | 12.97 | 12.16 | 13.33 |
| Abies religiosa (Abirel) | 7.38 | 2.13 | 4.23 | 4.58 | |
| Pinus devoniana (Pindev) | 9.29 | 14.61 | 11.27 | 11.72 | |
| Pinus douglasiana (Pindou) | 1.65 | 3.08 | 2.82 | 2.51 | |
| Pinus herrerae (Pinher) | 5.47 | 11.45 | 8.45 | 8.46 | |
| Pinus oocarpa (Pinooc) | 4.20 | 2.80 | 5.63 | 4.21 | |
| Pinus pseudostrobus (Pinpse) | 22.14 | 21.19 | 11.27 | 19.19 | |
| Polygalaceae | Monnina ciliolata (Moncil) | 0.64 | 0.02 | 1.41 | 0.69 |
El diagrama polínico del bosque fue dividido en 3 zonas palinológicas mediante un análisis de conglomerados (CONISS) (fig. 5). A lo largo de toda la secuencia del ensamble de polen fósil, se observó un patrón heterogéneo caracterizado por la oscilación de los taxones leñosos herbáceos y helechos. La primera zona palinológica (C-1) corresponde al periodo de 1,580-1,550 años cal AP y muestra una mayor abundancia de taxones leñosos como Alnus, Pinus y Quercus. En cuanto a los taxones herbáceos, los más abundantes fueron Asteraceae, Cyperaceae y Poaceae. La segunda zona (C-2) corresponde al periodo de 1,550-740 años cal AP, abarca el periodo más extenso, presenta un patrón similar al anterior, con la adición de taxones de Fabaceae y Rosaceae. La tercera zona (C-3a) corresponde al año 740-700 años cal AP, se observa un patrón divergente caracterizado por una disminución de Aspleniaceae y Bromeliaceae. En los últimos 700-100 años cal AP (zona C-3b) se aprecia un patrón heterogéneo con oscilaciones en los porcentajes de Pinus, Quercus y Alnus en el grupo de los taxones leñosos, así como en los de Asteraceae, Cyperaceae y Poaceae en el grupo de las herbáceas. En contraste, las esporas como Hymenophyllaceae, Polypodiaceae y Sphagnum disminuyen considerablemente sus porcentajes (fig. 5).
La diversidad de Hill para los conjuntos de polen moderno para el orden N0, indicó que la riqueza es de aproximadamente 16 taxones (con un intervalo de confianza de 95%). Para el orden N1 y N2 obtuvo valores de 3.79-4.76 y 2.4-2.9, respectivamente. Para el conjunto de polen fósil, N0 indicó que la riqueza es de alrededor de 34 taxones (con un intervalo de confianza de 95%), mientras que para N1 y N2 fueron de 14.4-15.8 y 9.4-10.5, respectivamente (figs. 4, 5).
La comparación entre los ensambles de polen moderno y la secuencia de polen fósil de La Cumbre de Guadalupe (fig. 6) mostró distancias cordales al cuadrado que variaron aproximadamente de 0.30 a 0.72. A lo largo de la cronosecuencia predominaron valores intermedios (≈ 0.45-0.60). Se identificaron mínimos locales de disimilitud (˂ 0.40) en intervalos temporales estrechos, destacando un pulso centrado alrededor de ~ 850 años cal AP. En contraste, se observaron franjas con mayor disimilitud (≥ 0.65) especialmente después de ~ 1,000 años cal AP y hacia los extremos de la secuencia. El mejor análogo moderno por nivel fósil rara vez presentó distancias ≤ 0.35 y no se registraron valores cercanos a 0; por lo tanto, no se detectaron análogos modernos muy cercanos para los niveles analizados.
Discusión
El análisis de la vegetación actual en la sierra de Cacoma, Jalisco, muestra que la composición florística está dominada por especies de Pinus–Quercus-Abies como los elementos estructurales más importantes según el IVI. Estos resultados coinciden con estudios previos que han identificado a estos taxones como dominantes en los bosques templados del occidente de México (Cuevas-Guzmán et al., 2011; Guerrero-Hernández et al., 2014, 2019). La estructura diamétrica de la comunidad sugiere una comunidad vegetal joven, con la mayoría de los individuos de diámetros menores de 60 cm, lo que coincide con patrones observados en otras regiones montañosas donde la explotación selectiva ha modificado la distribución diamétrica de las especies arbóreas (Guerrero-Hernández et al., 2022).
Tabla 2
Índice de Davis. La columna de taxones muestra el nombre científico de las especies. (A) significa la asociación, (O) sobrerrepresentación y (U) subrepresentación de los taxones registrados en los ensambles polínicos, basados en datos de presencia/ausencia, tanto de lluvia de polen como de la vegetación del BPQA. Los índices de asociación se clasificaron en: TFA = tipos fuertemente asociados, TA = tipos asociados, TDA = tipos débilmente asociados, TOR = tipos sobrerrepresentados, TUR = tipos subrepresentados y TNA = tipos no asociados.
| Taxones | A | O | U | Tipo |
| Pinus | 0.50 | 0.33 | 0.33 | TA |
| Quercus | 0.50 | 0.33 | 0.33 | TA |
| Abies | 0.50 | 0.35 | 0.32 | TA |
| Alnus acuminata | 0.50 | 0.50 | 0.00 | TOR |
| Alnus jorullensis | 0.50 | 0.50 | 0.00 | TOR |
| Arbutus xalapensis | 0.50 | 0.40 | 0.25 | TA |
| Cestrum | 0.50 | 0.50 | 0.00 | TOR |
| Cornus disciflora | 0.50 | 0.50 | 0.00 | TOR |
| Eugenia | 0.50 | 0.50 | 0.00 | TOR |
| Ficus | 0.50 | 0.50 | 0.00 | TOR |
| Fraxinus uhdei | 0.50 | 0.50 | 0.00 | TOR |
| Juglans major | 0.50 | 0.50 | 0.00 | TOR |
| Magnolia pacifica | 0.50 | 0.50 | 0.00 | TOR |
| Ostrya-carpinus | 0.50 | 0.50 | 0.00 | TOR |
| Ternstroemia lineata | 0.50 | 0.50 | 0.00 | TOR |
| Tilia mexicana | 0.50 | 0.50 | 0.00 | TOR |
| Zinowiewia concinna | 0.00 | 0.00 | 0.00 | – |
| Cupressaceae | 0.00 | 0.00 | 0.00 | – |
| Vachellia farnesiana | 0.50 | 0.50 | 0.00 | TOR |
| Baccharis pteronioides | 0.50 | 0.38 | 0.27 | TA |
| Rumfordia floribunda | 0.50 | 0.25 | 0.40 | TA |
| Monnina ciliolata | 0.50 | 0.00 | 0.50 | TUR |
El análisis del dendrograma de sombras identificó 4 grupos de especies y 4 de parcelas, evidenciando patrones de distribución diferenciados dentro del paisaje forestal. La estructura de los grupos sugiere coexistencia mediada por diferencias fisiológicas y ambientales. El género Pinus domina en la mayoría de los conjuntos en congruencia con su especialización en hábitats de fertilidad baja a moderada y en condiciones abiertas impuestas por aridez, frío o disturbio, así como con historias evolutivas asociadas con altas frecuencias de perturbación, en particular el fuego (Keeley y Zedler, 1998). En contraste, Quercus y Abies conforman subgrupos bien definidos que reflejan preferencias por microambientes más fríos y húmedos (Cuevas-Guzmán et al., 2011; Guerrero-Hernández et al., 2022). La alta similitud florística entre algunas parcelas sugiere que existen factores ambientales y de manejo forestal que han promovido la homogeneización de la vegetación en ciertas áreas, fenómeno que ha sido documentado en otros estudios de dinámica de bosques templados mexicanos (Guerrero-Hernández et al., 2019).
La composición del ensamble polínico moderno refleja la estructura y composición del bosque montano dominado por Pinus–Quercus–Abies. La alta representación de Pinus en el espectro polínico (> 60%) es consistente con estudios previos que han demostrado su alta producción polínica y dispersión anemófila en ecosistemas templados (Castro-López et al., 2020), y coinciden con estudios de lluvia polínica en bosques del occidente y centro de México (Figueroa-Rangel et al., 2016; Lozano-García et al., 2014), los cuales reportan estos elementos con porcentajes superiores a 40% en Pinus y Quercus, mientras que Abies oscila entre 10 y 20%. Estos resultados se explican por los mecanismos de dispersión anemófila y por la gran cantidad de granos de polen que producen (Faegri e Iversen, 1989). La presencia de Quercus y Abies con valores inferiores a Pinus, pero aún representativos (< 20% y < 15%, respectivamente), coincide con su menor producción polínica y las características de dispersión de estos géneros, factores que afectan su representatividad en los registros polínicos modernos (Rodríguez-Pérez et al., 2025).


En cuanto a la vegetación herbácea, el predominio de Poaceae (> 5%) indica su importancia en los espacios abiertos del bosque y su alta eficiencia en la producción y dispersión del polen (Hjelle, 1998). La baja representación de Eupatorium y Baccharis (< 5%) sugiere que estas especies, aunque presentes en la vegetación actual, tienen una menor contribución al espectro polínico debido a sus estrategias reproductivas y mecanismos de dispersión, como la entomofilia (Faegri e Iversen, 1989). De manera similar, las esporas de Polypodiaceae, aunque registradas con valores > 5%, no alcanzaron una representación dominante en el espectro polínico, lo que puede atribuirse a que a medida que aumenta la altitud, la representación del polen de la vegetación herbácea disminuye (Markgraf, 1980).
El análisis de representación polínica a través del índice de Davis confirma que los taxones dominantes en el bosque se encuentran principalmente en el grupo de tipo asociado (TA), lo que sugiere una correspondencia adecuada entre la vegetación y el espectro polínico. El predominio del grupo sobrerrepresentado (TOR) para la mayoría de los taxones indica que ciertos elementos del bosque reproducen y dispersan polen en proporciones superiores a su biomasa real en el ecosistema (Jackson y Overpek, 2000). Monnina ciliolata, identificado como tipo subrepresentado (TUR), refleja una producción polínica baja por sus mecanismos de dispersión especializados, lo que puede dificultar su identificación en registros fósiles (Faegri, 1966). La ausencia de taxones en el grupo fuertemente asociado (TFA) sugiere que ningún elemento arbóreo o herbáceo presenta una correspondencia entre su presencia en el bosque y su representación polínica. Este patrón puede explicarse por síndromes de polinización especializados, bajas abundancias locales (León-Carreño et al., 2019) una estructura poblacional dominada por individuos juveniles con pocos adultos reproductivos, como sugiere la distribución de diámetros y alturas (fig. 2).
El ensamble polínico fósil refleja la dinámica de la vegetación durante los últimos ~ 1,580 años, que evidencia cambios en la composición florística asociados a variaciones climáticas y potenciales impactos antrópicos. El diagrama polínico muestra 3 zonas diferenciadas, que sugiere una transición en la estructura del bosque, desde una composición dominada por taxones leñosos hasta un escenario más heterogéneo en los últimos siglos. En la primera zona palinológica (C-1), la dominancia de Alnus, Pinus y Quercus sugiere la prevalencia de un bosque templado de montaña con condiciones húmedas, lo que concuerda con estudios previos en la región del occidente de México (Figueroa-Rangel et al., 2016, 2020). La alta representación de Asteraceae, Cyperaceae y Poaceae indica la presencia de claros en el dosel forestal y espacios abiertos con vegetación herbácea.
Durante la segunda fase, que abarca el periodo más extenso (zona C-2), se mantiene la estructura del bosque, pero con la incorporación de taxones como Fabaceae y Rosaceae, lo que podría indicar una diversificación de la vegetación secundaria y la posibilidad de fluctuaciones climáticas que favorecieron la heterogeneidad del ecosistema (Arellano, 2024). La estabilidad relativa de los elementos leñosos indica que, bajo condiciones climáticas favorables que sostienen la cobertura forestal, el bosque mantiene su estructura y composición con cambios mínimos, evidenciando una alta capacidad de persistencia frente a posibles perturbaciones de baja a moderada intensidad.
El cambio más significativo ocurre en la tercera zona (C-3a), donde se observa una disminución de Aspleniaceae y Bromeliaceae, lo que podría estar vinculado a un enfriamiento o a una reducción en la humedad ambiental, en concordancia con el evento de la Pequeña Edad de Hielo documentado en bosques de alta montaña del occidente de México (Figueroa-Rangel et al., 2019, 2020). Posteriormente, en los últimos 700 años (zona C-3b), la heterogeneidad en las oscilaciones de Pinus, Quercus y Abies sugiere periodos de regeneración y disturbio en el bosque, posiblemente por influencia de actividad humana (del Castillo et al., 2018). La disminución de Cyperaceae, Hymenophyllaceae, Polypodiaceae y Sphagnum podría estar relacionada con una menor disponibilidad de ambientes húmedos o la alteración de los suelos debido a disturbios naturales o inducidos.
El análisis polínico moderno confirma la composición arbórea identificada en campo, con la dominancia de Pinus, Quercus y Abies. Sin embargo, la diversidad de Hill indica una riqueza relativamente baja en el polen moderno (N0 = 16, fig. 4) en comparación con el registro fósil (N0 = 34, fig. 5), lo que sugiere una composición más diversa de la vegetación en el pasado. Esta diferencia podría atribuirse a la dispersión diferencial del polen, a sesgos tafonómicos en la preservación en el sedimento y a la representatividad desigual de ciertos taxones en el espectro polínico (Birks et al., 2011; Xiao et al., 2016). Estudios similares han reportado una disminución de la diversidad arbórea en el Holoceno tardío en otras zonas templadas y tropicales de México, vinculada a eventos de cambio climático y actividades antrópicas (Lozano-García et al., 2021; Ortega-Rosas et al., 2008).
El análisis de los ensambles polínicos modernos y fósiles revela patrones temporales de similitud y disimilitud que sugieren cambios en la composición y estructura de la vegetación a lo largo de los últimos ~ 1,580 años. La mayor similitud entre los registros modernos y fósiles se presenta entre ~ 850 y 400 años cal AP, lo que es congruente con lo reportado en la sierra de Manantlán alrededor de ~ 850 años cal AP, caracterizado por la disminución de Pinus y el aumento de Quercus y Alnus, lo que pareciera una contracción del bosque dominado por Pinus y la expansión relativa de latifoliadas (Figueroa-Rangel et al., 2016). Este intervalo coincide con la Anomalía Climática Medieval (ACM) (800-1200 d.C.), caracterizada regionalmente por condiciones más cálidas y en diversos registros, mayor aridez estacional congruentes con otras secuencias polínicas del occidente y centro de México (Lachniet et al., 2012; Metcalfe et al., 2010), donde Quercus y Alnus se han propuesto como taxones indicadores de sequía (Lozano-García et al., 2021).
La similitud observada hacia ~ 400 años cal AP se acompaña de una expansión relativa de Poaceae y Asteraceae, familias típicamente pioneras y asociadas a ambientes abiertos o recientemente perturbados. Este intervalo coincide con la Pequeña Edad de Hielo (LIA) (1300 y 1850 d.C.), un periodo más frío que el actual que pudo reducir la productividad del bosque, favoreciendo claros y paisajes abiertos propicios para el establecimiento de pastizales (Bradley y Jones, 1993; Mann et al., 2009). Adicionalmente, las perturbaciones antrópicas de los últimos siglos (cambios de uso de suelo, tala y fuego) posiblemente reforzaron esa apertura del paisaje, lo que incrementó la representación polínica de Poaceae y Asteraceae (Lozano-García et al., 2021).
Por otro lado, los periodos de mayor disimilitud identificados hace ~ 1,500, 1,000 y 300 años cal AP, sugieren episodios de cambio ambiental y posibles alteraciones en la vegetación local. Estos periodos de disimilitud se relacionan estrechamente con las 3 zonas identificadas previamente mediante CONISS. La disimilitud hace ~ 1,500 años cal AP coincide con la transición entre las zonas más antiguas de la secuencia, caracterizada por una menor representación de Pinus y un mayor aporte de taxones leñosos y herbáceos indicativos de condiciones más húmedas, lo que significa mayor heterogeneidad ambiental y cambios en la dinámica del bosque (Lachniet et al., 2012). Asimismo, la disimilitud hace ~ 1,000 años cal AP se asocia con un incremento de Abies y una reducción de taxones de ambientes abiertos, lo cual lleva a una reorganización en la composición del bosque, posiblemente asociada a variaciones climáticas durante la Anomalía Climática Medieval; estos episodios han sido relacionados con fluctuaciones de humedad y temperatura que afectaron la distribución de especies arbóreas (Figueroa-Rangel et al., 2016; Metcalfe et al., 2010). En el intervalo más reciente, aproximadamente los últimos 300 años cal AP, se observa un aumento de la disimilitud que marca la transición hacia una señal polínica moderna claramente diferenciada de los ensambles fósiles. Esta modificación puede estar asociada, por un lado, con la variabilidad climática vinculada a la Pequeña Edad de Hielo y por otro lado, con cambios de origen antropogénico posteriores a la colonización española, que implicaron modificaciones del uso del suelo y una mayor presión sobre los ecosistemas como los incendios y procesos de deforestación, que alteraron la estructura y composición del bosque y generaron ensambles polínicos distintos respecto de las condiciones previas (Lozano-García et al., 2021). Estos hallazgos resaltan la interconexión entre los procesos ecológicos y climáticos en la configuración de los ecosistemas forestales, y proporcionan evidencia sobre la sensibilidad de estos ecosistemas a los cambios ambientales pasados.
El análisis de los ensambles polínicos modernos y fósiles en la sierra de Cacoma, Jalisco en particular en la Cumbre de Guadalupe, ha permitido reconstruir la dinámica de la vegetación durante los últimos ~ 1,580 años, que evidencian cambios en la composición y estructura del bosque en respuesta a factores climáticos y antrópicos. Los resultados mostraron que la vegetación actual está dominada por Pinus pseudostrobus y Abies jaliscana, los elementos estructurales más relevantes. Esta composición coincide con la representación polínica moderna, donde Pinus–Quercus–Abies fueron los taxones dominantes, lo que refleja la relación entre el ensamble polínico y la estructura del bosque. Sin embargo, el registro polínico fósil indica que la vegetación del pasado presentaba una mayor diversidad de especies, lo que sugiere una mayor heterogeneidad de la vegetación en el pasado. La disminución de la diversidad efectiva en los últimos siglos podría estar relacionada con el impacto de eventos climáticos, como la Pequeña Edad de Hielo (~ 850-400 AP), así como la influencia de actividades antrópicas, como el cambio en el uso de suelo, los incendios y la explotación forestal.
El análisis de disimilitud entre ensambles de polen moderno y fósil identificó intervalos de mayor similitud estructural del bosque (~ 850 y 400 cal AP), intercalados con episodios de cambio (~ 1,500, ~ 1,000 y ~ 300 cal AP). Estos periodos coinciden con transiciones climáticas del Holoceno tardío, incluida la Anomalía Climática Medieval y la Pequeña Edad de Hielo, que modularon la composición de las comunidades vegetales. Asimismo, la evidencia indica que en los últimos siglos, la actividad humana (incendios, deforestación) ha alterado la estructura forestal y ha favorecido la homogeneización de la vegetación en algunas zonas.
Los hallazgos señalan la relevancia del análisis palinológico en la reconstrucción de la historia ambiental y ecológica de los bosques montanos del occidente de México. Futuros estudios podrían integrar un análisis multiproxy, como datos isotópicos y modelado climático, para mejorar la resolución temporal de los cambios en la vegetación y su relación con la variabilidad climática. Asimismo, se podrían desarrollar análisis de correspondencia entre los conjuntos de polen moderno y la vegetación actual para identificar los factores que explican la ausencia de ciertos taxones esperados, a pesar de la evidencia que indica una correspondencia entre la composición de polen local y la vegetación del bosque.
Agradecimientos
Agradecemos el apoyo financiero de los proyectos Conahcyt CB-2008-106435 y UDG-PTC-1403. Asimismo,
agradecemos al Laboratorio de Paleoecología y Cambio Climático del Departamento de Ecología y Recursos Naturales del Centro Universitario de la Costa Sur, Universidad de Guadalajara, y al Laboratorio de Paleoecología, Paleoclimatología y Cambio Climático del Departamento de Dinámica Superficial del Instituto de Geología, UNAM, por las facilidades, el apoyo logístico y la infraestructura brindados para el desarrollo del estudio. El acceso a la zona de estudio fue brindado por los habitantes de la comunidad de la Cumbre de Guadalupe. También expresamos nuestro reconocimiento a quienes colaboraron en el trabajo de campo, así como a Carlos Armando Pacheco Contreras por la elaboración del mapa y el trabajo de campo. Finalmente, agradecemos a los revisores anónimos por sus observaciones y sugerencias que contribuyeron a mejorar este trabajo.
Referencias
Amador-Cruz, F., Figueroa-Rangel, B. L., Olvera-Vargas, M. y Mendoza, M. E. (2024). A methodological procedure for the estimation of ecological value applied to a neotropical cloud forest. Ecological Research, 40, 437–451. https://doi.org/10.1111/1440-1703.12538
Angiosperm Phylogeny Group IV. (2016). An update of the Angiosperm Phylogeny Group classification for the orders and families of flowering plants: APG IV. Botanical Journal of the Linnean Society, 181, 1–20. https://doi.org/10.1111/boj.12385
Arellano, V. (2024). Vegetation dynamics and climate change resilience in tropical rainforests in Mexico. American Journal of Climatic Studies, 1, 43–55.
Bennett, K. D. (1994). Confidence intervals for age estimates and deposition times in late-quaternary sediment sequences. The Holocene, 4, 337–348. https://doi.org/10.1177/095968369400400401
Bennett, K. D. y Willis, K. J. (2001). Pollen. En J. P. Smol, H. J. B. Birks y W. M. Last (Eds.), Tracking environmental change using lake sediments: volume 3 Terrestrial, algal, and siliceous indicators (pp. 5–32). Amsterdam: Kluwer Academic Publishers. https://doi.org/10.1007/s00334-006-0066-6
Bennett, K. D. (2005). PSIMPOLL 4.25 and PSCOMB 1.03: C Programs for plotting pollen diagrams and analysing pollen data. Uppsala Universitet, Uppsala, Sweden.
Birks, H. J. B., Heiri, O., Seppä, H. y Bjune, A. E. (2011). Strengths and weaknesses of quantitative climate reconstructions based on late-Quaternary biological proxies. Open Ecology Journal, 3, 68–110. https://doi.org/10.2174/1874213001003020068
Bradley, R. S. y Jones, P. D. (1993). ‘Little Ice Age’ summer temperature variations: their nature and relevance to recent global warming trends. The Holocene, 3, 367–376. https://doi.org/10.1177/095968369300300409
Calcote, R. (1995). Pollen source area and pollen productivity: evidence from forest hollows. Journal of Ecology, 83, 591–602. https://doi.org/10.2307/2261627
Calcote, R. (1998). Identifying forest stand types using pollen from forest hollows. The Holocene, 8, 423–432. https://doi.org/10.1191/095968398670894847
Castro-López, V., Domínguez-Vázquez, G., Islebe, G. A., Priego-Santander, Á. G. y Velázquez, A. (2020). Modern pollen-vegetation relationships across a landscape mosaic in central México. Review of Palaeobotany and Palynology, 289, 104362. https://doi.org/10.1016/j.revpalbo.2020.10436
Clarke, K. R. y Gorley, R. N. (2015). Primer v7: Use manual tutorial. Reino Unido Plymouth: PRIMER-E.
Conabio (Comisión Nacional para el Conocimiento y Uso de la Biodiversidad). (2010). El bosque mesófilo de montaña en México: amenazas y oportunidades para su conservación y manejo sostenible. México D.F.: Comisión Nacional para el Conocimiento y Uso de la Biodiversidad.
Conagua (Comisión Nacional del Agua). (2025). Normales climatológicas por estado. Sistema Meteorológico Nacional. Recuperado el 02 octubre, 2025 de: https://smn.conagua.gob.mx/es/climatologia/informacion-climatologica/normales-climatologicas-por-estado
Correa-Metrio, A., Urrego, D. H., Cabrera, K. R. y Bush, M. B. (2015). paleoMAS: Paleoecological Analysis. The R PRoject for Statistical Computing. http://CRAN.R-project.org/package=paleoMAS.
Cottam, G. y Curtis, J. T. (1956). The use of distance measures in phytosociological sampling. Ecology, 37, 451–460. https://doi.org/10.2307/1930167
Cuevas-Guzmán, R., Cisneros-Lepe, E. A., Jardel-Peláez, E. J., Sánchez-Rodríguez, E. V., Guzmán-Hernández, L., Núñez-López, N. M. et al. (2011). Análisis estructural y de diversidad en los bosques de Abies de Jalisco, México. Revista Mexicana de Biodiversidad, 82, 1219–1233. https://doi.org/10.22201/ib.20078706e.2011.4.741
Davis, O. K. (1984). Pollen frequencies reflect vegetation patterns in a Great Basin (USA) mountain range. Review of Palaeobotany and Palynology, 40, 295–315. https://doi.org/10.1016/0034-6667(84)90013-7
Davies, C. P. y Fall, P. L. (2001). Modern pollen precipitation from an elevational transect in central Jordan and its relationship to vegetation. Journal of Biogeography, 28, 1195–1210. https://doi.org/10.1046/j.1365-2699.2001.00630.x
Delcourt, H. R., Delcourt, P. A. y Webb, T. (1983). Dynamic plant ecology: the spectrum of vegetational change in
space and time. Quaternary Science Reviews, 1, 153–175. https://doi.org/10.1016/0277-3791(82)90008-7
del Castillo-Batista, A. P., Figueroa-Rangel, B. L., Lozano-García, S., Olvera-Vargas, M. y Cuevas-Guzmán, R. (2018). 1580 años de impacto humano y cambio climático en la dinámica del bosque de Pinus-Quercus-Abies en el centro-occidente de México. Revista Mexicana de Biodiversidad, 89, 208–225. https://doi.org/10.22201/ib.20078706e.2018.1.2117
Erdtman, G. (1943). An introduction to pollen analysis. Waltham, EUA: Chronica Botanica Company.
Escarraga-Paredes, D., Torrescano-Valle, N. e Islebe, G. A. (2014). Análisis de la relación vegetación-lluvia de polen actual de las comunidades vegetales en el noroeste de la península de Yucatán, México. Polibotánica, 38, 27–52.
Faegri, K. (1966). Some problems of representivity in pollen analysis. Journal of Palaeosciences, 15, 135–140. https://doi.org/10.54991/jop.1966.759
Faegri, K. e Iversen, J. (1989). Textbook of pollen análisis, 4th Ed. K. Faegri, P. E. Kaland, y K. Krzywinski, Eds.). Caldwell, NJ: The Blackburn Press.
Faegri, K. F. y van der Pijl, L. (1979). The principles of pollination Ecology. New York: Pregamon Press.
Figueroa-Rangel, B. L. (2017). Mexican Reference Collection (Version 2). Digitised Palynological Reference Collection. https://globalpollenproject.org/Reference/006fa89d-ee86-4b59-a249-a30572b67358/2
Figueroa-Rangel, B. L. y Olvera-Vargas, M. (2018). Long-term responses of mountain forests to environmental change in West-Central Mexico. Regional Environmental Change, 19, 349–361. https://doi.org/10.1007/s10113-018-1435-2
Figueroa-Rangel, B. L., Olvera-Vargas, M. y Del Castillo-Batista, A. P. (2019). The environment of ancient cloud forests in the Mexican Pacific. En N. Torrescano-Valle, G. Islebe y P. Roy (Eds.), The Holocene and Anthropocene environmental history of Mexico (69–85). Cham: Springer https://doi.org/10.1007/978-3-030-31719-5_4
Figueroa-Rangel, B. L., Olvera-Vargas, M., Lozano-García, S., Islebe, G., Torrescano, N., Sosa-Nájera, S. et al. (2020). Forests diversity in the Mexican Neotropics: a paleoecological view. Neotropical Diversification: Patterns and Processes, 449–473. https://doi.org/10.1007/978-3-030-31167-4_17
Figueroa-Rangel, B. L., Olvera-Vargas, M., Vázquez-López, J. M., Willis, K. J. y Lozano-García, S. (2016). Modern and fossil pollen assemblages reveal forest taxonomic changes in the Mexican subtropics during the last 1300 years. Review of Palaeobotany and Palynology, 231, 1–13. https://doi.org/10.1016/j.revpalbo.2016.04.007
Figueroa-Rangel, B. L., Willis, K. J. y Olvera-Vargas, M. (2008). 4,200 years of pine-dominated upland forest dynamics in west-central Mexico: human or natural legacy. Ecology, 89, 1893–1907. https://doi.org/10.1890/07-0830.1
Fjordheim, K., Moen, A., Hjelle, K. L., Bjune, A. E. y Birks, H. H. (2018). Modern pollen-vegetation relationships in traditionally mown and unmanaged boreal rich-fen communities in central Norway. Review of Palaeobotany and Palynology, 251, 14–27. https://doi.org/10.1016/j.revpalbo.2018.01.001
Grimm, E. C. (2020). Tilia software, version 3.0.1, Illinois State Museum, Springfield IL.
Guerrero-Hernández, R., González-Gallegos, J. G. y Castro-Castro, A. (2014). Análisis florístico de un bosque de Abies y el bosque mesófilo de montaña adyacente en Juanacatlán, Mascota, Jalisco, México. Botanical Sciences, 92, 541–562. https://doi.org/10.17129/botsci.119
Guerrero-Hernández, R., Muñiz-Castro, M. Á., Vázquez-García, J. A. y Ruiz-Corral, J. A. (2019). Estructura del bosque mesófilo de montaña y su reemplazo por bosque de Abies en dos gradientes altitudinales del occidente de México. Botanical Sciences, 97, 301-322. https://doi.org/10.17129/botsci.2206
Guerrero-Hernández, R., Muñiz-Castro, M. Á., Villanueva-Díaz, J., Hernández-Vera, G., Vázquez-García, J. A. y Ruiz-Corral, J. A. (2022). Tree-ring patterns and growth response of Abies jaliscana to climate along elevational gradients in the mountains of Western Jalisco, Mexico. Forests, 13, 981. https://doi.org/10.3390/f13070981
Hill, M. O. (1973) Diversity and evenness: a unifying notion and its consequences. Ecology, 54, 427–432. https://doi.org/10.2307/1934352
Hjelle, K. L. (1998). Herb pollen representation in surface moss samples from mown meadows and pastures in western Norway. Vegetation History and Archaeobotany, 7, 79–96. https://doi.org/10.1007/BF01373926
Hjelle, K. L. (1999). Modern pollen assemblages from mown and grazed vegetation types in Western Norway. Review of Palaeobotany and Palynology, 107, 55–81. https://doi.org/10.1016/S0034-6667(99)00015-9
Ihaka, R. y Gentleman, R. (1993). R (Versión 2.13. 0). Software.
INEGI (Instituto Nacional de Estadística, Geografía e Informática). (2015). Síntesis de información geográfica del estado de Jalisco. Recuperado el 05 septiembre, 2015 de: https://www.inegi.org.mx/app/biblioteca/ficha.html?upc=702825076153
Jackson, S. T. y Overpeck, J. T. (2000). Responses of plant populations and communities to environmental changes of the late Quaternary. Paleobiology, 26, 194–220. https://doi.org/10.1017/S0094837300026932
Jacobson, G. L. Jr., y Bradshaw, R. H. W. (1981). The selection of sites for paleovegetational studies. Quaternary Research, 16, 80–96. https://doi.org/10.1016/0033-5894(81)90129-0
Keeley, J. E. y Zedler, P. H. (1998). Evolution of the life histories in Pinus. En D. Richardson (Ed.), Ecology and biogeography of Pinus (pp. 219–250). Cambridge: Cambridge University Press.
Lachniet, M. S., Bernal, J. P., Asmerom, Y., Polyak, V. y Piperno, D. (2012). A 2400 yr Mesoamerican rainfall reconstruction links climate and cultural change. Geology, 40, 259–262. https://doi.org/10.1130/G32471.1
León-Carreño, M., Ramírez-Arriaga, E., Martínez-Bernal, A., Martínez-Hernández, E., Zárate-Hernández, M. D. R., Vásquez-Velasco, B. et al. (2019). Lluvia polínica en la selva baja caducifolia del cerro El Picante, San José Tilapa, Puebla, valle de Tehuacán-Cuicatlán. Revista Mexicana de Biodiversidad, 90, 1–26. https://doi.org/10.22201/ib.20078706e.2019.90
Lozano-García, S., Correa-Metrio, A. y Luna, L. (2014). Análisis de la lluvia de polen moderna de la cuenca de México: una herramienta para la interpretación del registro fósil. Boletín de la Sociedad Geológica Mexicana, 66, 1–10. https://doi.org/10.18268/bsgm2014v66n1a1
Lozano-García, S., Figueroa-Rangel, B., Sosa-Nájera, S., Caballero, M., Noren, A. J., Metcalfe, S. E. et al. (2021). Climatic and anthropogenic influences on vegetation changes during the last 5,000 years in a seasonal dry tropical forest at the northern limits of the Neotropics. The Holocene, 31, 802–813. https://doi.org/10.1177/0959683620988054
Maher, Jr. L. J. (1972). Nomograms for computing 0.95 limits of pollen data. Review of Palaeobotany and Palynology, 13, 85–93. https://doi.org/10.1016/0034-6667(72)90038-3
Mann, M. E., Zhang, Z., Rutherford, S., Bradley, R. S., Hughes, M. K., Shindell, D. et al. (2009). Global signatures and dynamical origins of the Little Ice Age and Medieval Climate Anomaly. Science, 326, 1256–1260. https://doi.org/10.1126/science.1177303
Markgraf, V. (1980). Dispersión de polen en una zona montañosa. Grana, 19, 127–146. https://doi.org/10.1080/00173138009424995
Markgraf, V., Webb, R. S., Anderson, K. H. y Anderson, L. (2002). Modern pollen/climate calibration for southern South America. Palaeogeography, Palaeoclimatology, Palaeoecology, 181, 375–397. https://doi.org/10.1016/S0031-0182(01)00414-X
Matteucci, S. D. y Colma, A. (1982). Metodología para el estudio de la vegetación. Washington, D.C.: Secretaría General de la Organización de los Estados Americanos, Programa Regional de Desarrollo Científico y Tecnológico.
Metcalfe, S. E., Jones, M. D., Davies, S. J., Noren, A. y MacKenzie, A. (2010). Climate variability over the last two millennia in the North American Monsoon region, recorded in laminated lake sediments from Laguna de Juanacatlán, Mexico. The Holocene, 20, 1195–1206. https://doi.org/10.1177/0959683610371994
Oksanen, J., Guillaume-Blanchet, F., Kindt, R., Legendre, P., O’Hara, R. G., Simpson, G. L. et al. (2010). Vegan: community ecology package. R package. version 1.18–2/r1135. http://R-Forge.R-project.org/projects/vegan/
Olvera-Vargas, M. y Figueroa-Rangel, B. L. (2023). Parcelas permanentes para la investigación ecológico-silvícola de largo plazo. Autlán de Navarro, Jalisco: Universidad de Guadalajara
Ortega-Rosas, C. I., Peñalba, M. C. y Guiot, J. (2008). Holocene altitudinal shifts in vegetation belts and environmental changes in the Sierra Madre Occidental, Northwestern Mexico, based on modern and fossil pollen data. Review of Palaeobotany and Palynology, 151, 1–20. https://doi.org/10.1016/j.revpalbo.2008.01.008
Ortuño, T., Ledru, M. P., Cheddadi, R., Kuentz, A., Favier, C. y Beck, S. (2011). Modern pollen rain, vegetation and climate in Bolivian ecoregions. Review of Palaeobotany and Palynology, 165, 61–74. https://doi.org/10.1016/j.revpalbo.2011.02.004
Perry, J. P., Graham, A. y Richardson, D. M. (1998). The history of pines in Mexico and Central America. En D. Richardson (Ed.), Ecology and biogeography of Pinus (pp. 192–218). Cambridge: Cambridge University Press.
Proctor, M., Yeo, P. y Lack, A. (1996). The natural history of pollination. Exeter, Reino Unido: Harper Collins Publishers.
Rodríguez-González, J. P. (2015). Estructura y diversidad de las comunidades de especies leñosas del bosque mesófilo de montaña a lo largo de un gradiente altitudinal en la sierra de Cacoma, Talpa de Allende, Jalisco (Tesis). Universidad de Guadalajara. Jalisco, México.
Rodríguez-Pérez, E., Vázquez-Selem, L., Cañellas-Boltà, N., Trapote, M. D. C., Sosa, S., Lozano-García, S. et al. (2025). Pollen signal of modern vegetation registered in surface soil samples along an elevation gradient from Iztaccíhuatl volcano, central Mexico. Vegetation History and Archaeobotany, 34, 273–288. https://doi.org/10.1007/s00334-024-01007-6
R Core Team (2019) R: a language and environment for statistical computing. Available at: http://www.R-project.org
Stockmarr, J. (1971). Tablets with spores used in absolute pollen analysis. Pollen et Spores, 13, 615–621.
Stuiver, M. y Reimer, J. (1993). Extended 14C data base and revised CALIB 3.014 C age calibration program. Radio-
carbon, 35, 215–230. https://doi.org/10.1017/S0033822200013904
Trivi de Mandri, M. E., Burry, L. S. y D’Antoni, H. L. (2006). Dispersión-depositación del polen actual en Tierra del Fuego, Argentina. Revista Mexicana de Biodiversidad, 77, 89–95. https://dx.doi.org/10.22201/ib.20078706e.2006.001.322
Vargas-Rodríguez, Y. L., Vázquez-García, J. A., Quintero, T., Muniz-Castro, M. A. y Shalisko, V. (2010). Estudio técnico justificativo para la declaratoria del Parque Estatal Bosque de Arce, Talpa de Allende, Jalisco. Guadalajara: SEDEUR/ DEMADES/ SAVHO/ Gobierno del Estado de Jalisco.
Whittaker, R. H. (1967). Gradient analysis of vegetation. Biological Reviews, 42, 207–264. https://doi.org/10.1111/j.1469185X.1967.tb01419.x
Wright, Jr. H. E. (1967). The use of surface samples in Quaternary pollen analysis. Review of Palaeobotany and Palynology, 2, 321–330. https://doi.org/10.1016/0034-6667(67)90162-5
Xiao, Y., Li, X., Cao, Y. y Dong, M. (2016). The diverse effects of habitat fragmentation on plant-pollinator interactions. Plant Ecology, 217, 857–868. https://doi.org/10.1007/s11258-016-0608-7
























































