Composición, estructura y diversidad vegetal de la Reserva Ecológica Comunal Loma Alta, Santa Elena, Ecuador
Evelyng Astudillo-Sánchez a, *, James Pérez b, Luis Troccoli c y Héctor Aponte d
a Research Center, Universidad Espíritu Santo, Km 2.5 vía La Puntilla, 09-01-952 Samborondón, Ecuador
b Jardín Botánico de Guayaquil, Av. Fco. de Orellana y calle 24-N NE, Cdla. Las Orquídeas, Guayaquil, Ecuador
c Facultad de Ciencias del Mar, Universidad Estatal Península de Santa Elena, Av. Principal La Libertad – Santa Elena, La Libertad, Ecuador
d Facultad de Ciencias Veterinarias y Biológicas, Carrera de Biología Marina, Universidad Científica del Sur, Antigua Carretera Panamericana Sur s/n, Km 19 ,15837 Villa El Salvador, Lima, Perú
*Autor para correspondencia: eveavesecuador@gmail.com (E. Astudillo-Sánchez)
Resumen
El objetivo fue analizar la composición, estructura y diversidad florística de Loma Alta a 3 altitudes (164, 300 y 466 m snm) aplicando el método de Gentry. Se registraron 283 especies siendo Fabaceae (26 spp.) la familia más representativa; de estas, 101 spp. (36%) son endémicas y 87 spp. (31%) pertenecen a alguna categoría de conservación (incluyendo a Oreanthes ecuadorensis como en peligro crítico). La estructura estuvo compuesta por 6 clases diamétricas y 7 clases altimétricas, agrupando 81% y 62% de los individuos en la primera categoría. Se reconocen 3 tipos de vegetación: a) bosque seco con Xylosma benthamii; b) bosque de transición con Gustavia serrata y c) bosque de garúa con Rhodostemonodaphne kunthiana como las especies ecológicamente representativas. La diversidad, medida como riqueza fue mayor (37 spp.) para el bosque de transición, la heterogeneidad promedio fue mayor (H’ = 2.40 nats/ind) para el bosque de garúa y la dominancia promedio fue mayor (D = 0.25) para el bosque seco. Los resultados proporcionan evidencia que podría usarse para fortalecer la gestión ambiental del área protegida a nivel local y regional, considerando que cada bosque se destacó por una característica particular, como riqueza, heterogeneidad y dominancia.
Palabras clave: Loma Alta; Diversidad alfa; Diversidad beta; Bosque seco; Bosque de transición; Bosque de garúa
© 2019 Universidad Nacional Autónoma de México, Instituto de Biología. Este es un artículo Open Access bajo la licencia CC BY-NC-ND
Composition, structure and plant diversity of the Loma Alta Communal Ecological Reserve, Santa Elena, Ecuador
Abstract
The objective was to analyze the composition, structure and floristic diversity of Loma Alta at three altitudes (164, 300, and 466 m asl) following the Gentry method. We registered 283 species, with Fabaceae (26 spp.) being the most specious family; of these, 101 spp. (36%) are endemic and 87 spp. (31%) belong to some conservation status (including Oreanthes ecuadorensis as Critically Endangered). The structure was composed of 6 diametric classes, concentrating 81% of the individuals, and 7 altimetric classes, grouping 62%, both in the first category. Three types of vegetation were determined: a) dry forest with Xylosma benthamii; b) transitional forest with Gustavia serrata, and c) Garua forest with Rhodostemonodaphne kunthiana as the ecologically representative species. The diversity measured from the richness species was higher (37 spp.) for the transitional forest, the average heterogeneity was higher (H’ = 2.40 nats/ind) for the garua forest, and the average dominance was higher (D = 0.25) for the dry forest. The results provide evidence that can be used to strengthen the environmental management of the protected area at the local and regional level, considering that each forest was highlighted by a characteristic, such as richness, heterogeneity and dominance.
Keywords: Loma Alta; Alpha diversity; Beta diversity; Dry forest; Transitional forest; Garúa forest
© 2019 Universidad Nacional Autónoma de México, Instituto de Biología. This is an open access article under the CC BY-NC-ND license
Introducción
Los bosques tropicales estacionalmente secos (BTES) representan 42% de la superficie de bosques tropicales y subtropicales del mundo, y 22% para Sudamérica (García-Villacorta, 2009). Se encuentran desde el nivel del mar hasta los 1,000 m de altitud, pudiendo llegar incluso hasta los 2,400 m (Espinosa et al., 2012). Los BTES compartidos entre Ecuador y Perú son reconocidos por su alta diversidad y endemismo, y comprenden un núcleo florístico conocido como Pacífico ecuatorial (Linares-Palomino et al., 2010) dominado por el bosque seco ecuatoriano y son considerados como los ecosistemas tropicales más amenazados (Espinoza et al., 2012). Estos aparecen como parches, con altos niveles de aislamiento y de forma esporádica o discontinua, localizados desde el noroeste de México hasta el norte de Argentina y sureste de Brasil (Valdez-Hernández et al., 2014).
En Ecuador, los BTES del Pacífico ecuatorial se ubican en la región costa y son conocidos como bosques secos, los mismos que presentan problemas de conservación asociados a la destrucción y degradación del hábitat por estar ubicados en zonas pobladas, generando pérdida de biodiversidad; además hay poca información, debido a que la mayoría de las investigaciones no han sido publicadas (Aguirre, Kvist et al., 2006; Aguirre, Linares-Palomino et al., 2006). Aunque se han realizado avances importantes en las zonas de Ecuador y Perú a partir del año 2000 (Aguirre y Delgado, 2005; Aguirre, Kvist et al., 2006; Aguirre, Linares-Palomino et al., 2006; García-Villacorta 2009; Leal-Pinedo y Linares-Palomino, 2005; Linares-Palomino et al., 2010; Marcelo-Peña et al., 2007), aun así, en la costa ecuatoriana y en particular en la cordillera Chongón Colonche, se han detectado vacíos de conocimiento ubicados en la transición entre sistemas húmedos del Pacífico con los estacionales y deciduos de la costa central (Cuesta et al., 2013, 2017).
En la Cordillera Chongón Colonche (CCHC) se asienta la comuna Loma Alta, la cual ha sido pionera en temas de conservación comunitaria en la costa ecuatoriana y posee un área protegida conocida como Reserva Ecológica Comunal Loma Alta (RECLA). A pesar de su nivel de protección, aún persisten amenazas como la deforestación y fragmentación de hábitat que han sido anteriormente documentados (Astudillo et al., 2015; Bonifaz y Cornejo, 2004; Fundación Natura y KfW, 1996; Valverde et al., 1991); por ello, el Ministerio de Ambiente del Ecuador (MAE) ha considerado la cuenca del río Ayampe en la CCHC con un alto nivel de prioridad de conservación (MAE, 2006). En ese sentido, el conocimiento de la biodiversidad presente a escala local es urgente, ya que es un indicador del estado de los ecosistemas y su comprensión nos faculta ver los cambios en la estructura del paisaje con fines prácticos en el manejo y conservación ambiental (Moreno, 2001).
El objetivo del estudio es dar a conocer la composición, estructura y diversidad de la vegetación presente en la RECLA con la finalidad de que los resultados permitan promover la investigación, conservación y gestión tanto del área protegida como de la cordillera Chongón Colonche.
Materiales y métodos
El trabajo de campo se realizó en el año 2015 en la comuna Loma Alta (01º52’ S, 80º 38’ O) ubicada en la provincia de Santa Elena, la cual posee una extensión de 6,842 ha, de las cuales 3,218.19 ha están como Bosque Protector creado en 1987 (Astudillo et al., 2015) (fig. 1).
Los aspectos biogeográficos de la RECLA están determinados por la CCHC que forma parte del corredor Tumbes-Chocó-Magdalena (TCM), llamada también Ecorregión Terrestre del Chocó-Darien-Ecuador Occidental. La ecorregión TCM, geográficamente, se extiende desde Panamá, atraviesa el occidente de Colombia y Ecuador hasta el noroeste de Perú y es reconocida por su diversidad y endemismo albergando bosques húmedos tropicales, húmedos premontanos hasta vegetación seca como matorrales espinosos en las planicies costeras (CEPF, 2005). El endemismo florístico en Loma Alta proviene de los bosques húmedos de la región del Chocó compartida con Colombia y de los bosques secos de la región Tumbesina compartidos con Perú, a lo cual Cornejo (2018) se refiere como región occidental del Ecuador caracterizada por estos 2 grupos disímiles de bosques que difieren en composición florística, diversidad, fitogeografía y condiciones climáticas.
El clima en la CCHC está influenciado por la corriente fría de Humboldt que de junio a septiembre cambia la estacionalidad del área debido al efecto de nubosidad conocido localmente como garúa (MAE, 2013) y que contribuye con precipitación horizontal formando bosques húmedos en las partes altas (Bonifaz y Cornejo, 2004), entretanto mantiene la estructura de bosques secos en las partes bajas. La precipitación horizontal aporta 108 mm de humedad en una estación de garúa, esto es 40% del agua que los bosques interceptan a partir de los 400 m snm, y 10% se retiene como agua subterránea (Becker, 1999; Becker et al., 2005).

En la CCHC, las condiciones climáticas varían acorde a la orografía. Por ejemplo, en las partes altas, la precipitación alcanza los 1,200 mm y una temperatura máxima de 36 ºC en el día durante la estación lluviosa; así como, la precipitación aborda los 1,080 mm y los 18 ºC en las noches durante la estación de garúa (Bonifaz y Cornejo, 2004). En cambio, en las partes bajas del cantón Santa Elena, la precipitación promedio interanual es de 66 mm/año con una variabilidad que asciende hasta los 200 mm/mes en la estación lluviosa y se aproxima a 0 en la estación seca, mientras que la temperatura media anual es de 23.4 ºC (GADM Santa Elena, 2014). En Loma Alta, la altitud se inicia desde 64 m hasta los 90 m en las zonas pobladas y en la RECLA la altitud va desde los 200 m en la entrada sur hasta los 830 m en el cerro La Torre. La precipitación fue registrada por Tamariz (2016) con un valor promedio anual de 31.35 mm durante el período 2005 – 2015, con datos históricos proporcionados por el Instituto Nacional de Meteorología e Hidrología (INAMHI) y tomados en la estación Nº M0245 ubicada en el poblado de Loma Alta. La misma autora añadió que el mes de febrero fue el más lluvioso con un promedio de 101.67 mm y mayo fue el mes con menor precipitación con 6.86 mm; cabe resaltar que muchos meses los datos fueron cero.
En la RECLA, las formaciones vegetales identificadas corresponden al bosque deciduo de la cordillera costera del Pacífico ecuatorial (i.e., bosque seco); bosque siempreverde estacional piemontano de la cordillera costera del Pacífico ecuatorial (i.e., bosque de transición) y bosque siempreverde estacional montano bajo de la cordillera costera del Pacífico ecuatorial (i.e., bosque de garúa) (fig. 2) (Astudillo et al., 2015).
Para el muestreo de la vegetación, se utilizó el criterio de gradiente altitudinal recomendado por Whittaker (1960) para establecer subgrupos de formación vegetal a 100 m snm (bosque seco), a 300 m snm (bosque de transición) y a 500 m snm (bosque de garúa), en donde se estableció un transecto lineal de 1,000 m en cada tipo de vegetación y se monitoreó la dinámica vegetal con muestreos mensuales durante 12 meses. En cada transecto lineal, se determinó un área transversal para aplicar el método de Gentry (1995) que consiste en dividir una parcela de 1,000 m2, en 10 transectos de 50 m × 2 m efectuando un censo de plantas leñosas (fanerófitas) de 2.5 cm de diámetro en altura del pecho (DAP) o superior. Los transectos de Gentry se ubicaron a 164 m snm (UTM 0542807 – 9792271), a 300 m snm (UTM 0543375 – 9793627) y a 466 m snm (UTM 0543021 – 9797342) recolectando datos durante la época lluviosa (e.g., enero) y la época seca (e.g., junio).

La identificación de especies botánicas fue basada en el “Catálogo de las plantas vasculares del Ecuador” (Jørgensen y León-Yánez, 1999), así como trabajos efectuados en el área (Astudillo et al., 2015; Bonifaz y Cornejo, 2004) y otras publicaciones de la región costera (Dodson y Gentry 1978, 1991; Dodson et al., 1985; Valverde y Pérez, 2012; Valverde et al., 1979, 1991). El ordenamiento de especies angiospermas se basó en el Sistema de Clasificación del APG III (Bremer et al., 2009) y la base de datos Tropicos (2019; http://www.tropicos.org). La identificación de especies endémicas y su estatus de conservación se basó en el “Libro rojo de las plantas endémicas del Ecuador” (León-Yánez et al., 2011) y los listados de la Unión Internacional para la Conservación de la Naturaleza (UICN, 2019) y Tropicos (2019; http://www.tropicos.org). Adicionalmente, se tomaron fotografías y se recolectaron muestras fértiles de las especies consideradas representativas para estos sitios o de las cuales se tenían duda. Las muestras fueron identificadas en el Laboratorio de Ciencias Ambientales de la Universidad Especialidades Espíritu Santo y llevadas al Herbario Nacional de Loja, donde fueron depositadas.
La estructura vegetal se definió mediante parámetros dasométricos y volumétricos, y con estos datos, se obtuvo el índice de valor de importancia (IVI) que resalta la relevancia ecológica relativa de las especies en las comunidades vegetales acorde al carácter y la estructura de un ecosistema (Cottam y Curtis, 1956; Curtis, 1959; Soler et al., 2012), las clases diamétricas y altimétricas abarcaron una escala de 10 cm y 5 m, respectivamente.
La diversidad alfa (α) se estimó desde el componente de heterogeneidad mediante el índice de Shannon-Wienner (H’), el cual se representó en unidades nats por individuo (nats/ind) y desde el componente de dominancia dado por el índice de Simpson (D) según lo sugiere Moreno (2001) (tabla 1). También, se emplearon estimadores no paramétricos para conocer la riqueza en los 3 tipos de bosques. Estos estimadores consideran las especies pocos abundantes o raras (Colwell y Coddington, 1994), por su enfoque en la extrapolación del número de especies faltantes para conocer si el muestreo realizado fue suficiente (Poulin, 1998). Moreno (2001) sugiere Chao 2 por ser un estimador menos sesgado para muestras pequeñas y como medidas complementarias de los análisis de diversidad. Se estimó también la diversidad β desde la propiedad de reemplazo en cada tipo de bosque mediante el índice de Whittaker, que ha sido el más utilizado para diferentes trabajos (Koleff et al., 2003; Magurran, 1988; Wilson y Shmida, 1984) y por ser el más robusto; su fórmula es:
βw = S / α – 1
donde S es el número de especies registradas en un conjunto de muestras (diversidad gamma) y α es el número promedio de especies en las muestras (Moreno, 2001).
Para comparar comunidades mediante diferencias, se empleó el índice de Bray-Curtis por considerar valores cuantitativos y ha sido utilizado en otros estudios de comunidades vegetales (Aragón et al., 2010; Moreno, 2001; Yepes et al., 2007; Zacarías et al., 2011). La fórmula es:
CN = 2jN/(Na+Nb)
donde Na es el total número de individuos en el sitio a, Nb es el total del número de individuos del sitio b, 2jN es la suma de la menor de las dos abundancias para las especies encontradas en ambos sitios (Newton, 2007). El valor 0 indica que no hay especies compartidas y 1 que poseen la misma composición (Moreno, 2001) y sobre la base de esto se realizó un escalamiento multidimensional no métrico (nMDS) mencionado por Clarke y Warwick (2001) por ser métodos robustos para identificar y sugerir patrones en ecología de comunidades (La Torre-Cuadros y Linares-Palomino, 2008; McCune et al., 2002). Con el objetivo de determinar posibles diferencias significativas entre las formaciones vegetales, se utilizó un análisis de similitud (Anosim) y para conocer las especies leñosas representativas de cada bosque, se empleó el análisis de similitudes porcentuales (Simper), según Clarke y Gorley (2006).
Siguiendo los patrones elevacionales, se planteó la hipótesis de que la riqueza se incrementa positivamente con la altitud. Para ponerlo a prueba, se determinaron posibles diferencias en la estructura comunitaria vegetal tales como la riqueza, abundancia, equitatividad y diversidad entre bosques utilizando un análisis de varianza no paramétrico de Kuskal-Wallis (KW) al comprobar el no cumplimiento de los supuestos de normalidad (Kolmogorov Smirnov) y homocedasticidad (Zar, 1996). Los datos fueron expresados en cajas y bigotes acorde con las recomendaciones de Boyer et al. (1997).
Los análisis de diversidad fueron realizados con el programa PAST versión 3.16 (Hammer et al., 2001) y para medir la similitud, se elaboró una matriz con las abundancias absolutas. Los análisis estadísticos de la estructura comunitaria, (nMDS-Anosim-Simper) se efectuaron con PRIMER versión 6 (Clarke y Goley, 2006).
Tabla 1
Índices de diversidad alfa utilizados en el presente estudio,
adaptado de: Moreno (2001); Aguirre (2013); Campo y Duval (2014).
|
Tipo de índice |
Fórmula |
Condición |
|
Índice de Shannon (H’) |
H= Ʃ(Pi) (ln Pi) |
0 – 1.35 diversidad baja |
|
1.36 – 3.5 diversidad media |
||
|
> 3.6 diversidad alta |
||
|
Índice de Simpson (D) |
D = Ʃ (Pi)2 |
0.01 – 0.33 dominancia baja (diversidad alta) |
|
0.34 – 0.66 dominancia media (diversidad media) |
||
|
> 0.67 dominancia alta (diversidad baja) |
Donde: Pi= abundancia proporcional de la especie i dividido entre el número total de individuos de la muestra.
Resultados
Se registraron 35 órdenes, 82 familias, 209 géneros y 283 especies. Las familias más representativas fueron Fabaceae (26 spp.), Araceae y Bromeliaceae (19 spp. cada una), Rubiaceae (10 spp.) y Gesneriaceae (11 spp.); por otra parte, los géneros con mayor riqueza fueron Anthurium (9 spp.), Tillandsia (7 spp.), Inga (6 spp.), Philodendron, Guzmania y Cordia (5 spp. cada una); la vegetación leñosa encontrada en los transectos de Gentry fue de 37 familias y 68 especies, destacándose las familias Fabaceae (7 spp.), Euphorbiaceae (5 spp.) y Rubiaceae (4 spp.).
El endemismo incluyó 101 especies (36%) con distribución a nivel local, nacional y regional acorde a las zonas biogeográficas. El endemismo local se dividió en 3 niveles; la región occidental que se circunscribe hasta el oeste de los Andes ecuatorianos con un total de 22 especies (22%), la región natural costa con 11 especies (11%) y la CCHC con 5 especies (5%). Trece especies (13%) son propias del país. El endemismo compartido se enmarcó como las ecorregiones constituidas por TCM, Chocó, Tumbesina y otros, en los cuales se registraron 13 (13%), 16 (16%), 18 (18%) y 3 (3%) especies, respectivamente (Apéndice). También se ubicaron 87 (31%) especies vegetales en alguna categoría de conservación, considerando como en peligro crítico (CR) a Oreanthes ecuadorensis, 16 spp. (18%) en la categoría en peligro (EN), 11 spp. (13%) como vulnerables (VU), 10 spp. (11%) como casi amenazadas (NT), 41 spp. (47%) en preocupación menor (LC), con datos deficientes (DD) y no evaluada (NE) 1 sp. (1%) cada una; así como 6 spp. (7%) fueron registradas como CITES (Apéndice). Las especies más representativas considerando el tipo de endemismo y el grado de amenaza fueron: Annona oligocarpa (anona), Capparidastrum bonifazianum (guineo de monte), Croton rivinifolius (chala), Inga laurina (guaba), Gustavia serrata (membrillo), Inga carinata (guaba), Matisia grandifolia (molinillo), Cedrela odorata (cedro de Castilla), Sorocea sarcocarpa (tillo chino), Phytelephas aequatorialis (tagua) y Randia carlosiana (cañafito).
Tabla 2
Estructura del bosque seco. Se muestra la abundancia, frecuencia, dominancia y el Índice de Valor de Importancia (IVI) al 100%.
a = absoluta; r = relativa.
|
Especie |
Abundancia |
Frecuencia |
Dominancia |
IVI al 100% |
|||
|
a |
r |
a |
r |
a |
r |
||
|
Acalypha cuneata |
1 |
0.66 |
1 |
1.64 |
0.01 |
1.81 |
1.37 |
|
Albizia multiflora |
1 |
0.66 |
1 |
1.64 |
0.00 |
0.29 |
0.86 |
|
Casearia aculeata |
19 |
12.58 |
9 |
14.75 |
0.06 |
6.86 |
11.40 |
|
Cynophalla heterophylla |
13 |
8.61 |
7 |
11.48 |
0.02 |
2.49 |
7.53 |
|
Cecropia obtusifolia |
1 |
0.66 |
1 |
1.64 |
0.02 |
1.92 |
1.41 |
|
Coccoloba ovata |
2 |
1.32 |
1 |
1.64 |
0.03 |
3.79 |
2.25 |
|
Cordia alliodora |
7 |
4.64 |
4 |
6.56 |
0.10 |
12.65 |
7.95 |
|
Croton rivinifolius |
4 |
2.65 |
2 |
3.28 |
0.01 |
0.91 |
2.28 |
|
Erythroxylum glaucum |
3 |
1.99 |
1 |
1.64 |
0.01 |
0.98 |
1.54 |
|
Gallesia integrifolia |
16 |
10.60 |
8 |
13.11 |
0.26 |
32.92 |
18.88 |
|
Gouania polygama |
2 |
1.32 |
1 |
1.64 |
0.00 |
0.52 |
1.16 |
|
Guazuma ulmifolia |
7 |
4.64 |
5 |
8.20 |
0.04 |
5.05 |
5.96 |
|
Leucaena trichodes |
2 |
1.32 |
1 |
1.64 |
0.01 |
1.07 |
1.35 |
|
Libidibia glabrata |
1 |
0.66 |
1 |
1.64 |
0.00 |
0.12 |
0.81 |
|
Tournefortia glabra |
5 |
3.31 |
2 |
3.28 |
0.01 |
0.81 |
2.47 |
|
Xylosma benthamii |
57 |
37.75 |
10 |
16.39 |
0.15 |
19.23 |
24.46 |
|
Ziziphus thyrsiflora |
10 |
6.62 |
6 |
9.84 |
0.07 |
8.58 |
8.34 |
|
Total |
151 |
100.00 |
61 |
100.00 |
0.80 |
100.00 |
100.00 |
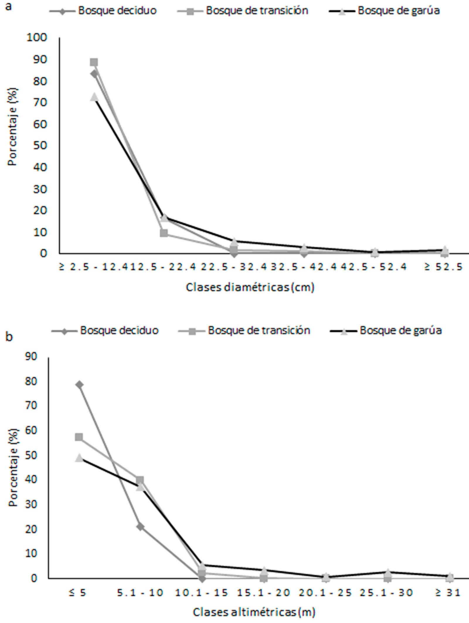
En el bosque seco, de acuerdo con el IVI, las 3 especies mejor representadas fueron Xylosma benthamii (25%), Gallesia integrifolia (19%) y Casearia aculeata (11%) (tabla 2). La estructura horizontal estuvo conformada por 2 clases diamétricas concentrando 83% la primera clase (fig. 3a) y mostrando una jota invertida no bien definida en la gráfica. La estructura vertical estuvo constituida por 2 clases altimétricas agrupando 79% la primera clase (fig. 3b).
En el bosque de transición, las especies con mayor IVI fueron Gustavia serrata (20%), Urera caracasana (10%) y Cordia alliodora (8%) (tabla 3). La estructura horizontal estuvo compuesta por 4 clases diamétricas reuniendo 88% la primera clase (fig. 3a) y su gráfica fue una jota invertida bien definida. La estructura vertical estuvo establecida por 3 clases altimétricas congregando 57% la primera clase (fig. 3b).
En el bosque de garúa, las especies representativas acorde al IVI fueron Rhodostemonodaphne kunthiana (18%), Matisia grandifolia (14%) y Randia carlosiana (7%) (tabla 4). La estructura horizontal estuvo formada por 6 clases diamétricas reclutando 73% la primera clase (fig. 3a) y su gráfica fue una jota invertida típica de bosques tropicales. La estructura vertical estuvo distribuida en 7 clases altimétricas concentrando el 49% en la primera clase (fig. 3b).

Tabla 3
Estructura del bosque de transición. Se muestra la abundancia, frecuencia, dominancia y el Índice de Valor de Importancia (IVI) al 100%. a = absoluta; r = relativa.
|
Especie |
Abundancia |
Frecuencia |
Dominancia |
IVI al 100% |
|||
|
a |
r |
a |
r |
a |
r |
||
|
Acalypha cuneata |
22 |
6.23 |
8 |
5.88 |
0.10 |
3.97 |
5.36 |
|
Annona oligocarpa |
12 |
3.40 |
7 |
5.15 |
0.11 |
4.37 |
4.30 |
|
Bactris setulosa |
15 |
4.25 |
8 |
5.88 |
0.02 |
0.79 |
3.64 |
|
Bunchosia hookeriana |
1 |
0.28 |
1 |
0.74 |
0.00 |
0.00 |
0.34 |
|
Capparidastrum bonifazianum |
14 |
3.97 |
9 |
6.62 |
0.02 |
0.79 |
3.79 |
|
Cecropia angustifolia |
4 |
1.13 |
3 |
2.21 |
0.11 |
4.37 |
2.57 |
|
Cedrela odorata |
1 |
0.28 |
1 |
0.74 |
0.03 |
1.19 |
0.74 |
|
Chrysophyllum argenteum |
1 |
0.28 |
1 |
0.74 |
0.00 |
0.00 |
0.34 |
|
Clavija eggersiana |
3 |
0.85 |
3 |
2.21 |
0.01 |
0.40 |
1.15 |
|
Cordia alliodora |
16 |
4.53 |
6 |
4.41 |
0.39 |
15.48 |
8.14 |
|
Cordia collococca |
10 |
2.83 |
6 |
4.41 |
0.09 |
3.57 |
3.61 |
|
Cupania latifolia |
3 |
0.85 |
2 |
1.47 |
0.02 |
0.79 |
1.04 |
|
Cynophalla ecuadorica |
1 |
0.28 |
1 |
0.74 |
0.00 |
0.00 |
0.34 |
|
Erythroxylum glaucum |
1 |
0.28 |
1 |
0.74 |
0.00 |
0.00 |
0.34 |
|
Fridericia candicans |
15 |
4.25 |
6 |
4.41 |
0.03 |
1.19 |
3.28 |
|
Gallesia integrifolia |
1 |
0.28 |
1 |
0.74 |
0.02 |
0.79 |
0.60 |
|
Garcinia madruno |
6 |
1.70 |
3 |
2.21 |
0.01 |
0.40 |
1.43 |
|
Gouania polygama |
2 |
0.57 |
2 |
1.47 |
0.00 |
0.00 |
0.68 |
|
Gustavia serrata |
115 |
32.58 |
10 |
7.35 |
0.50 |
19.84 |
19.92 |
|
Handroanthus chrysanthus |
1 |
0.28 |
1 |
0.74 |
0.00 |
0.00 |
0.34 |
|
Heisteria acuminata |
1 |
0.28 |
1 |
0.74 |
0.00 |
0.00 |
0.34 |
|
Inga carinata |
3 |
0.85 |
2 |
1.47 |
0.03 |
1.19 |
1.17 |
|
Inga laurina |
9 |
2.55 |
5 |
3.68 |
0.10 |
3.97 |
3.40 |
|
Libidibia glabrata |
1 |
0.28 |
1 |
0.74 |
0.00 |
0.00 |
0.34 |
|
Maquira guianensis |
2 |
0.57 |
2 |
1.47 |
0.01 |
0.40 |
0.81 |
|
Myrcia splendens |
1 |
0.28 |
1 |
0.74 |
0.00 |
0.00 |
0.34 |
|
Palicourea guianensis |
3 |
0.85 |
3 |
2.21 |
0.00 |
0.00 |
1.02 |
|
Passiflora macrophylla |
1 |
0.28 |
1 |
0.74 |
0.00 |
0.00 |
0.34 |
|
Phytelephas aequatorialis |
4 |
1.13 |
4 |
2.94 |
0.26 |
10.32 |
4.80 |
|
Randia carlosiana |
1 |
0.28 |
1 |
0.74 |
0.00 |
0.00 |
0.34 |
|
Ruagea glabra |
4 |
1.13 |
4 |
2.94 |
0.00 |
0.00 |
1.36 |
|
Sapium gladulosum |
3 |
0.85 |
2 |
1.47 |
0.17 |
6.75 |
3.02 |
|
Senna oxyphylla |
1 |
0.28 |
1 |
0.74 |
0.00 |
0.00 |
0.34 |
|
Sorocea sarcocarpa |
9 |
2.55 |
6 |
4.41 |
0.03 |
1.19 |
2.72 |
|
Trichilia pallida |
18 |
5.10 |
7 |
5.15 |
0.08 |
3.17 |
4.47 |
|
Triplaris cumingiana |
12 |
3.40 |
5 |
3.68 |
0.04 |
1.59 |
2.89 |
|
Urera caracasana |
36 |
10.20 |
10 |
7.35 |
0.34 |
13.49 |
10.35 |
|
Total |
353 |
100.00 |
136 |
100.00 |
2.52 |
100.00 |
100.00 |
Tabla 4
Estructura del bosque de garúa. Se muestra la abundancia, frecuencia, dominancia y el índice de valor de importancia (IVI) al 100%. a = Absoluta; r = relativa.
|
Especie |
Abundancia |
Frecuencia |
Dominancia |
IVI al 100% |
|||
|
a |
r |
a |
r |
a |
r |
||
|
Acalypha cuneata |
5 |
1.32 |
4 |
2.58 |
0.01 |
0.03 |
1.31 |
|
Aegiphila alba |
3 |
0.79 |
2 |
1.29 |
0.06 |
0.32 |
0.80 |
|
Alchornea leptogyna |
3 |
0.79 |
3 |
1.94 |
0.01 |
0.04 |
0.92 |
|
Annona oligocarpa |
9 |
2.37 |
5 |
3.23 |
0.04 |
0.23 |
1.95 |
|
Bactris setulosa |
3 |
0.79 |
3 |
1.94 |
0.03 |
0.16 |
0.96 |
|
Beilschmiedia alloiophylla |
12 |
3.17 |
6 |
3.87 |
0.35 |
1.97 |
3.00 |
|
Calatola costaricensis |
32 |
8.44 |
10 |
6.45 |
0.53 |
3.02 |
5.97 |
|
Capparidastrum bonifazianum |
1 |
0.26 |
1 |
0.65 |
0.00 |
0.02 |
0.31 |
|
Cecropia angustifolia |
2 |
0.53 |
2 |
1.29 |
0.14 |
0.80 |
0.87 |
|
Cecropia obtusifolia |
6 |
1.58 |
4 |
2.58 |
0.01 |
0.06 |
1.41 |
|
Chamaedorea linearis |
17 |
4.49 |
8 |
5.16 |
0.04 |
0.23 |
3.29 |
|
Chrysochlamys dependens |
4 |
1.06 |
3 |
1.94 |
0.02 |
0.09 |
1.03 |
|
Chrysophyllum venezuelanense |
3 |
0.79 |
3 |
1.94 |
0.07 |
0.40 |
1.04 |
|
Cordia collococca |
3 |
0.79 |
2 |
1.29 |
0.00 |
0.02 |
0.70 |
|
Cupania latifolia |
12 |
3.17 |
6 |
3.87 |
0.58 |
3.28 |
3.44 |
|
Dendropanax macrocarpus |
1 |
0.26 |
1 |
0.65 |
0.01 |
0.05 |
0.32 |
|
Dussia lehmannii |
18 |
4.75 |
8 |
5.16 |
0.93 |
5.27 |
5.06 |
|
Garcinia madruno |
5 |
1.32 |
5 |
3.23 |
0.06 |
0.37 |
1.64 |
|
Gustavia serrata |
9 |
2.37 |
6 |
3.87 |
0.05 |
0.25 |
2.17 |
|
Handroanthus chrysanthus |
2 |
0.53 |
2 |
1.29 |
3.00 |
16.95 |
6.26 |
|
Inga carinata |
2 |
0.53 |
2 |
1.29 |
0.00 |
0.01 |
0.61 |
|
Maquira guianensis |
4 |
1.06 |
4 |
2.58 |
0.16 |
0.93 |
1.52 |
|
Matisia grandifolia |
99 |
26.12 |
10 |
6.45 |
1.60 |
9.06 |
13.88 |
|
Mollinedia ovata |
3 |
0.79 |
1 |
0.65 |
0.00 |
0.02 |
0.49 |
|
Myrcia splendens |
1 |
0.26 |
1 |
0.65 |
0.01 |
0.04 |
0.32 |
|
Nectandra subbullata |
19 |
5.01 |
9 |
5.81 |
0.50 |
2.83 |
4.55 |
|
Pentagonia grandiflora |
4 |
1.06 |
3 |
1.94 |
0.02 |
0.11 |
1.03 |
|
Piper squamulosum |
4 |
1.06 |
4 |
2.58 |
0.00 |
0.03 |
1.22 |
|
Psychotria hazenii |
17 |
4.49 |
7 |
4.52 |
0.04 |
0.21 |
3.07 |
|
Randia carlosiana |
47 |
12.40 |
10 |
6.45 |
0.40 |
2.29 |
7.05 |
|
Rhodostemonodaphne kuntiana |
4 |
1.06 |
3 |
1.94 |
8.86 |
50.08 |
17.69 |
|
Tabernaemontana amygdalifolia |
6 |
1.58 |
5 |
3.23 |
0.01 |
0.08 |
1.63 |
|
Tetrorchidium andinum |
7 |
1.85 |
4 |
2.58 |
0.11 |
0.62 |
1.68 |
|
Urera caracasana |
8 |
2.11 |
5 |
3.23 |
0.00 |
0.01 |
1.78 |
|
Vasconcellea microcarpa |
2 |
0.53 |
2 |
1.29 |
0.00 |
0.01 |
0.61 |
|
Zanthoxylum riedelianum |
2 |
0.53 |
1 |
0.65 |
0.02 |
0.11 |
0.43 |
|
Total |
379 |
100.00 |
155 |
100.00 |
17.69 |
100.00 |
100.00 |
En los transectos realizados en el bosque seco se encontraron 17 especies (13 spp. arbóreas y 4 spp. arbustivas) representadas en un total de 151 individuos pertenecientes a 13 familias. La diversidad, desde el componente de heterogeneidad (H’), registró un valor promedio de 1.56 nats/ind y la dominancia un valor promedio de 0.27 (tabla 5). La diversidad en los transectos fue mayor para el T1 (1.95 nats/ind) y menor para el T2 (0.94 nats/ind); entretanto, la dominancia fue inversa, mayor para el T2 (0.43) y menor en T1 (0.16) (tabla 5).
En los transectos realizados en el bosque de transición se reconocieron 37 especies (34 spp. arbóreas y 3 spp. arbustivas) relacionadas a 353 individuos que corresponden a 25 familias. Mediante el índice de Shannon-Wiener, se estimó un valor promedio de 2.18 nats/ind y la dominancia un valor promedio de 0.17 (tabla 5). La diversidad en los transectos fue mayor para el T8 (2.46 nats/ind) y menor para el T4 (1.95 nats/ind); mientras que la dominancia fue mayor para el T10 (0.24) y menor en T8 (0.11) (tabla 5).
En los transectos realizados en el bosque de garúa, se identificaron 36 especies (35 spp. arbóreas y 1 sp. arbustiva) y 379 individuos propios a 28 familias. El índice de Shannon-Wiener mostró una heterogeneidad promedio de 2.40 nats/ind y el índice de Simpson valoró la dominancia promedio de 0.13 (tabla 5). La diversidad en los transectos fue mayor para el T10 (2.78 nats/ind) y menor para el T1 (1.92 nats/ind); mientras que la dominancia inversa a la heterogeneidad, es decir fue mayor para el T1 (0.27) y menor en T10 (0.08) (tabla 5).
En términos generales, la diversidad comparada por tipo de bosque y desde el componente de riqueza específica fue mayor para el bosque de transición; mientras que la heterogeneidad demostró ser mayor en el bosque de garúa y menor para el bosque seco, así como la dominancia fue mayor en el bosque seco y menor en el de garúa (fig. 4).

El estimador Chao 2 indicó que la riqueza para los transectos realizados en el bosque seco, bosque de transición y bosque de garúa fue 18 (18.66 especies; DS = 8.39), 36 (36.45 especies; DS = 6.91) y 35 (35.34 especies; DS = 2.62) especies respectivamente; lo que nos indica que para cada uno de estos bosques hubo una cobertura de la muestra promedio de 98%. Esto último es un indicador de que el esfuerzo de muestreo fue el adecuado y representativo para el área de estudio.
La diversidad beta, desde el componente de reemplazo, fue mayor para el bosque seco (βw = 1.78), seguido por el bosque de transición (βw = 1.74) y del bosque de garúa (βw = 1.29).
Tabla 5
Índices de diversidad α de la RECLA.
|
Diversidad α |
T1 |
T2 |
T3 |
T4 |
T5 |
T6 |
T7 |
T8 |
T9 |
T10 |
Promedio |
|
|
Bosque seco |
Riqueza |
8 |
3 |
7 |
4 |
5 |
8 |
7 |
6 |
7 |
6 |
6.1 |
|
Individuos |
13 |
9 |
20 |
14 |
13 |
20 |
23 |
11 |
16 |
12 |
15.1 |
|
|
H’ |
1.95 |
0.94 |
1.85 |
0.99 |
1.52 |
1.79 |
1.48 |
1.64 |
1.72 |
1.71 |
1.56 |
|
|
Dominancia |
0.16 |
0.43 |
0.18 |
0.47 |
0.24 |
0.22 |
0.32 |
0.22 |
0.22 |
0.19 |
0.27 |
|
|
Bosque de transición |
Riqueza |
14 |
11 |
14 |
13 |
12 |
16 |
15 |
15 |
12 |
13 |
13.50 |
|
Individuos |
34 |
44 |
48 |
39 |
27 |
42 |
31 |
27 |
28 |
33 |
35.30 |
|
|
H’ |
2.27 |
2.11 |
1.96 |
1.95 |
2.08 |
2.39 |
2.37 |
2.46 |
2.19 |
2.00 |
2.18 |
|
|
Dominancia |
0.14 |
0.15 |
0.22 |
0.22 |
0.19 |
0.13 |
0.13 |
0.11 |
0.15 |
0.24 |
0.17 |
|
|
Bosque de garúa |
Riqueza |
14 |
17 |
12 |
18 |
16 |
16 |
18 |
11 |
15 |
20 |
15.7 |
|
Individuos |
40 |
33 |
28 |
38 |
38 |
41 |
42 |
45 |
34 |
40 |
37.9 |
|
|
H’ |
1.92 |
2.58 |
2.19 |
2.63 |
2.43 |
2.41 |
2.43 |
2.15 |
2.52 |
2.78 |
2.40 |
|
|
Dominancia |
0.27 |
0.10 |
0.15 |
0.09 |
0.12 |
0.13 |
0.14 |
0.14 |
0.10 |
0.08 |
0.13 |
T1 – T10: Transectos
H›: Diversidad de Shannon-Wiener (estima la heterogeneidad de la comunidad)
nats/ind: Unidad logarítmica base e de entropía del índice de Shannon-Wiener.
El análisis nMDS basado en el índice de Bray-Curtis detectó diferencias significativas (R = 0.99, p < 0.05) entre los bosques (fig. 5), así también como el Anosim (R = 0.99; p < 0.01). El análisis Simper indicó las especies representativas que contribuyeron a la similitud en cada tipo de vegetación con menos de 60% para cada uno, las mismas que coincidieron con algunas especies del IVI que definió la estructura del bosque (tabla 6). Sin embargo, la disimilitud es mayor a 85% entre bosques, siendo la máxima de 96% entre el bosque seco y de garúa confirmando que cada uno presenta una vegetación particular.

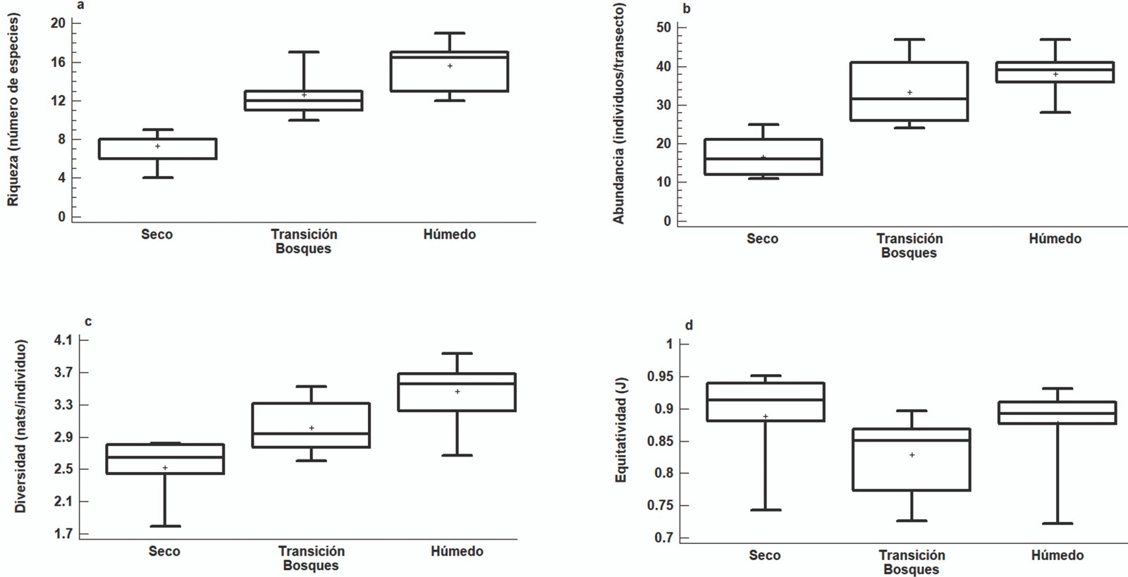
El análisis de KW mostró diferencias significativas en la riqueza (KW: 22.53, p < 0.05), abundancia (KW: 20.33, p < 0.05), diversidad (KW: 22.22, p < 0.05) y equitatividad (KW: 7.98, p < 0.05) por tipo de bosque. La riqueza específica promedio fue de 12 especies con un mínimo de 6 para el bosque seco y un máximo de 16 para el bosque de garúa (fig. 6a). La abundancia promedio fue de 30 individuos/transecto, considerando su valor mínimo de 15.1 en el bosque seco y un valor máximo de 39.8 en el bosque de garúa (fig. 6b). La diversidad promedio fue de 2.99 nats/ind, mientras que la menor fue de 2.24 nats/ind en el bosque seco y la mayor fue de 3.57 nats /ind en el bosque de garúa (fig. 6c). La equitatividad exhibió un promedio de 0.86 con valor mínimo de 0.83 en el bosque de transición y un valor máximo de 0.88 en el bosque de garúa (fig. 6d).
Tabla 6
Análisis SIMPER según el tipo de formación vegetal en la RECLA.
|
Tipo de vegetación |
Especie |
Promedio de similaridad |
Abundancia promedio |
Contribución (%) |
Acumulación (%) |
|
Bosque seco (BsPc01) |
Xylosma benthamii |
50.55 |
2.29 |
35.66 |
35.66 |
|
Casearia aculeata |
1.27 |
18.24 |
53.92 |
||
|
Gallesia integrifolia |
1.09 |
13.49 |
67.39 |
||
|
Cynophalla heterophulla |
0.94 |
9.98 |
77.37 |
||
|
Ziziphus thyrsiflora |
0.76 |
6.85 |
84.22 |
||
|
Bosque de transición (BePC02) |
Gustavia serrata |
50.58 |
3.34 |
32.48 |
32.48 |
|
Capparidastrum bonifazianum |
1.1 |
9.27 |
54.80 |
||
|
Acalypha cuneata |
1.22 |
7.43 |
62.20 |
||
|
Bactris setulosa |
1.08 |
6.09 |
68.29 |
||
|
Urera caracasana |
1.7 |
13.05 |
45.53 |
||
|
Bosque de garúa (BeBc01) |
Maquira guianensis |
55.94 |
3.07 |
21.25 |
21.25 |
|
Psychotria hazenii |
2.12 |
14.6 |
35.85 |
||
|
Calatola costaricensis |
1.71 |
11.11 |
46.96 |
||
|
Myrcia splendens |
1.29 |
7.99 |
54.95 |
||
|
Chamaedorea linearis |
1.16 |
6.70 |
61.65 |

Discusión
La presente investigación muestra el gran potencial de esta región para albergar especies vegetales. La investigación previa de Bonifaz y Cornejo (2004) a partir de los 400 m snm reportó 218 especies y 58 familias; en el presente estudio se registraron 65 especies más, probablemente debido a que se incluyó sectores más bajos como el bosque seco que se encuentra a 100 m snm. El estudio cualitativo de Astudillo et al. (2015) coincide en su composición vegetal leñosa con el presente trabajo, con la excepción de Alchornea leptogyna, Arrabidaea candicans, Dussia lehmannii, Coccoloba ovata y Xylosma benthamii que se reportaron en esta investigación.
Estudios previos realizados en los bosques secos de Ecuador y Perú (Aguirre, Kvist et al., 2006; Aguirre, Linares-Palomino et al., 2006; Linares-Palomino et al., 2010) indican que las familias leñosas con mayor riqueza fueron las Fabaceae con 70 especies; seguidas por Malvaceae con 19 spp.; Boraginaceae, Cactaceae y Moraceae con 12 spp. cada una, patrón coincidente, con Gentry (1995) y Pennington et al. (2006), quienes señalaron que en estos ecosistemas prevalecen las Fabaceae. El mismo patrón de composición florística fue verificado en este estudio, ya que se destacó la familia Fabaceae como la más rica en especies (18 spp.) en el bosque seco.
Por otra parte, el bosque de garúa también aporta a la diversidad taxonómica y al endemismo local presente en la CCHC ubicado dentro de los BTES del Pacífico ecuatorial (Astudillo et al. en prensa) y este patrón se verifica en este estudio al reportar que el bosque de garúa aporta con 61% al total de la diversidad florística para Loma Alta.
Otros trabajos realizados en los BTES de Ecuador se concentran en el sur (e.g., provincia de Loja) y uno similar al presente fue el realizado por Aguirre et al. (2013) que se refiere a la composición y estructura de los bosques secos de la provincia de Loja ubicados entre 197 y 1,000 m snm. Aguirre et al. (2013) identificaron 58 especies dentro de 29 familias con especies ecológicamente importantes como Ceiba trichistandra, Simira ecuadorensis, Tabebuia chrysantha, Eriotheca ruizii y Terminalia valverdeae. Aunque el presente estudio se realizó en un rango altitudinal menor (desde los 100 a 500 m snm) y en una sola localidad, se obtuvo una mayor riqueza específica (68 spp.) en los transectos, pero además, las especies con mayor IVI difieren entre ambas áreas. Estos resultados están asociados a la existencia de los bosques de garúa en la parte alta en nuestra área de estudio y esto a su vez, coincide con Astudillo et al. (en prensa), en que es en el sector biogeográfico de la cordillera costera del Pacífico ecuatorial donde acontecen condiciones climáticas particulares aunado a la topografía del área.
La estructura diamétrica encontrada en el presente estudio, donde la primera categoría concentra los individuos, exterioriza el problema de la deforestación en esta área protegida que exhibe un bosque joven secundario en crecimiento y es un indicador de la problemática de conservación que enfrentan los BTES del Pacífico ecuatorial, lo cual concuerda con lo publicado en otros tipos de BTES de Ecuador y Perú (Aguirre et al., 2013; Espinosa et al., 2012; García-Villacorta, 2009; Marcelo-Peña et al., 2007). Se debe destacar que en el bosque de garúa aún se localizaron árboles aislados con diámetros cercanos y mayores a 100 cm como remanente del bosque primario.
Con respecto a la diversidad de los BTES del Ecuador, un estudio realizado en el Bosque Protector Chongón Colonche, por Jadán et al. (2014), muestra datos de la diversidad alfa mediante los índices de Shannon-Wiener y Simpson, cuyos valores oscilan entre 2.22 a 2.65 y 0.82 a 0.90, respectivamente; asimismo, el estudio para la provincia de Loja por Aguirre et al. (2013) indicó valores entre 2.45 a 2.75 para el primero y 0.85 a 0.91 para el segundo índice. Los resultados del índice de Shannon-Wiener en ambas investigaciones concuerdan con los rangos de valores medios que van de 1.36 a 3.5 descritos por varios autores (Aguirre, 2013; Campo y Duval, 2014; Moreno, 2001; Ramírez, 2006) y que son semejantes a los de esta investigación. Se debe destacar que el valor más alto de diversidad α observado desde la propiedad de riqueza específica y heterogeneidad corresponde al de esta investigación y para el bosque de garúa, el cual presentó una riqueza específica de 36 spp. y un H’ = 2.84 nats/ind. Contrastando los datos de los BTES de Ecuador con los de Perú, los bosques de la Reserva de Biosfera del Noroeste (Amotape y Tumbes) tienen valores de 1.17 a 3.03 para Shannon -Wiener (Leal-Pinedo y Linares-Palomino, 2005); mientras, en los bosques de Jaén los resultados oscilaron entre 2.9 a 4.1 (Marcelo-Peña et al., 2007). En consecuencia, los datos obtenidos en la RECLA se mantienen como valores medios comparados con los bosques del norte de Perú.
Los porcentajes de completitud (que estuvieron alrededor de 100%) evidencian un muestreo satisfactorio y se pueden haber logrado debido a que los bosques secos son hábitats poco heterogéneos y según López y Williams (2006), los sistemas muy heterogéneos necesitarían un número mayor de muestreo para completar el inventario.
El análisis de ordenación nMDS-Anosim-Simper mostró alta disimilitud entre la composición florística leñosa y determinó 3 grupos diferentes de bosque, coincidiendo con el estudio cualitativo de Astudillo et al. (2015). La caracterización de los ecosistemas para la CCHC fue reportada por el MAE (2013) y en este trabajo se compendian todas las clasificaciones florísticas y bioclimáticas anteriores (Aguirre, Kvist et al., 2006; Josse et al., 2003; Sierra, 1999) para establecer un sistema de clasificación de ecosistemas del Ecuador continental. En Loma Alta se identificaron 3 de los 4 tipos de vegetación descritos para la cordillera costera del Pacífico ecuatorial.
El análisis de la prueba K-W reveló diferencias estadísticas significativas en la riqueza, abundancia, diversidad y equitatividad a lo largo de un gradiente altitudinal destacándose la diversidad α por marcar una tendencia de aumento. Pese a estos resultados, no se podría confirmar que los patrones la diversidad aumentan con la altitud debido a que el rango altitudinal estudiado no fue amplio. Los patrones de diversidad a lo largo de gradientes altitudinales se explican en 2 tendencias: el descenso de la riqueza específica conforme se aumenta la altitud y, la concentración de la riqueza en intervalos de altitudes medias (Colwell y Hurt, 1994; Colwell y Lees, 2000; Grytnes y McCain, 2007; McCain y Grytnes, 2010). Esto se puede notar en el estudio regional de Girardin et al. (2014), en la estructura y diversidad de los bosques andinos de Bolivia, Perú y Ecuador, donde se registró un decremento en la riqueza de especies a medida que la altitud aumentaba; mientras que Medrano-Meraz et al. (2017), describió mayor riqueza arbórea en rangos medios de altitud en la región de El Salto en México. Adicionalmente, se debe considerar que en sistemas montañosos, los factores ambientales influyen en la distribución espacial de la biodiversidad.
La contribución en el conocimiento ecológico y económico que los BTES aportan a la sostenibilidad ambiental y humana, contrasta con el estado de conservación actual que presenta la cordillera Chongón Colonche y que requieren de atención inmediata ya que el conocimiento de estos bosques secos es limitado. Los resultados de esta investigación proporcionan evidencia basados en criterios científicos para fortalecer la gestión ambiental del área protegida a nivel local y regional.
El presente estudio permite incrementar el conocimiento sinecológico vegetal de los BTES del Pacífico ecuatorial ubicados en la RECLA y de la cordillera Chongón Colonche; además de actualizar el listado con un total de 283 especies botánicas. La estructura horizontal y vertical está determinada por 6 clases diamétricas y 7 altimétricas, las cuales concentran 80% y 62% de los individuos en la primera categoría, respectivamente; estos resultados se asocian con la estructura de bosques jóvenes. La diversidad α estimada es similar a la de otros bosques de la región; sin embargo, es importante destacar que en el presente estudio se reporta el valor más alto de diversidad α observado desde la propiedad de riqueza específica y heterogeneidad. El presente estudio evidencia la presencia de 3 tipos de bosque con similitud baja entre ellos y donde la diversidad se incrementa con la altitud.
Agradecimientos
Un especial agradecimiento al Centro de Investigaciones de la Universidad de Especialidades Espíritu Santo (UEES) por el financiamiento para la ejecución de este proyecto UEES-2014-ART-002. Al Ministerio del Ambiente del Ecuador (MAE), a través de su Dirección Provincial de Santa Elena, por el permiso de investigación correspondiente N° 017-15 IC-FAU-DPSE-MA. Al Herbario Nacional de Loja y a su director, Zhofre Aguirre, por la colaboración en la recepción de las muestras botánicas. A la comunidad de Loma Alta, sus guardabosques Crisóforo Rodríguez y Narciso Ramírez, a Mauricio Torres y a todos los estudiantes que aportaron para realizar este proyecto.
Apéndice 1. Listado de las especies vegetales encontradas en la Comuna Loma Alta. Se indica familia, especie, forma de crecimiento, tipo de endemismo, categoría de conservación y el tipo de bosque donde se ha reportado. Simbología: endemismo compartido: Tumbes Chocó Magdalena = TCM; Chocó = CH; Tumbesina = T; Otros = nombres de países); endemismo nacional = Ec; endemismo local (cordillera Chongón Colonche = CCHC*; región costa = Ec Costa; occidente Andes = Ec Oeste). Categoría de conservación: en peligro = EN, vulnerables = VU, casi amenazada = NT, preocupación menor = LC y no evaluado = NE). Tipo de bosque donde se ha reportado (bosque seco = 1, bosque de transición = 2 y bosque de garúa = 3). Nota: CCHC* significa que el espécimen fue reportado en lugares de la Chongón Colonche, pero por carencia de investigación no se confirma que sólo esté distribuido en esta área.
|
Apéndice 1. Continuación. |
|||||
|
Familia |
Especie |
Forma de crecimiento |
Endemismo |
Categoría de conservación |
Tipo de bosque |
|
Familia |
Especie |
Forma de crecimiento |
Endemismo |
Categoría de conservación |
Tipo de bosque |
|
Aspleniaceae |
Asplenium auriculatum Sw. |
Epífito |
2, 3 |
||
|
Aspleniaceae |
Asplenium cuneatum Lam. |
Epífito |
3 |
||
|
Cyatheaceae |
Alsophila cuspidata (Kunze) D.S. Conant |
Helecho arbóreo |
3 |
||
|
Dryopteridaceae |
Megalastrum subincisum (Willd.) A. R. Sm. et R.C. Moran |
Epífito |
3 |
||
|
Lomariopsidaceae |
Cyclopeltis semicordata (Sw.) J. Sm. |
Epífito |
3 |
||
|
Lycopodiaceae |
Huperzia taxifolia (Sw.) Trevis |
Epífito |
2,3 |
||
|
Lygodiaceae |
Lygodium venustum Sw. |
Epífito |
1,2 |
||
|
Blechnaceae |
Blechnum occidentale L. |
Herbáceo |
3 |
||
|
Polypodiaceae |
Campyloneurum coarctatum (Kunze) Fée |
Epífito |
3 |
||
|
Polypodiaceae |
Campyloneurum phyllitidis (L.) C. Presl |
Herbáceo o Epífito |
3 |
||
|
Polypodiaceae |
Microgramma fuscopunctata (Hook.) Vareschi |
Epífito |
3 |
||
|
Polypodiaceae |
Pecluma eurybasis (C. Chr.) M.G. Price |
Herbáceo |
3 |
||
|
Polypodiaceae |
Polypodium dulce Poir. |
Herbáceo o Epífito |
3 |
||
|
Polypodiaceae |
Polypodium fayorum R.C. Moran et B. Ollg. |
Herbáceo |
T |
3 |
|
|
Polypodiaceae |
Polypodium triseriale Sw. |
Herbáceo |
3 |
||
|
Pteridaceae |
Pteris altissima Poir. |
Herbáceo |
3 |
||
|
Selaginellaceae |
Selaginella geniculata (C. Presl) Spring |
Epífito |
2,3 |
||
|
Thelypteridaceae |
Thelypteris angustifolia (Willd.) Proctor |
Herbáceo |
3 |
||
|
Araceae |
Anthurium barclayanum Engl. |
Herbáceo Terrestre |
T |
3 |
|
|
Araceae |
Anthurium colonchense Croat et Cornejo |
Epífito |
Ec Costa |
EN |
2 |
|
Araceae |
Anthurium dolichostachyum Sodiro |
Epífito |
Ec |
2,3 |
|
|
Araceae |
Anthurium mindense Sodiro |
Epífito |
Ec |
2,3 |
|
|
Araceae |
Anthurium nigropunctatum Croat et J. Rodr. |
Epífito |
Ec Oeste |
NT |
3 |
|
Araceae |
Anthurium scandens (Aubl.) Engl. |
Epífito |
2,3 |
||
|
Araceae |
Anthurium sodiroanum Engl. |
Epífito |
Ec Oeste |
LC |
2,3 |
|
Araceae |
Anthurium truncicola Engl. |
Epífito |
TCM |
3 |
|
|
Araceae |
Anthurium weberbaueri Engl. |
Epífito |
2,3 |
||
|
Araceae |
Chlorospatha atropurpurea (Madison) Madison |
Epífito |
Ec Oeste |
3 |
|
|
Araceae |
Dieffenbachia seguine (Jacq.) Schott |
Herbáceo |
3 |
||
|
Araceae |
Monstera adansonii Schott |
Hemiepífita |
3 |
||
|
Araceae |
Philodendron dodsonii Croat et Grayum |
Hemiepífita |
Ec |
3 |
|
|
Araceae |
Philodendron inaequilaterum Liebm. |
Hemiepífita |
3 |
||
|
Araceae |
Philodendron subhastatum Engl. et K. Krause |
Hemiepífita |
Ec Oeste |
3 |
|
|
Araceae |
Philodendron sulcatum K. Krause |
Epífito |
3 |
||
|
Araceae |
Philodendron tenuipes Engl. |
Hemiepífita |
Ec Oeste |
3 |
|
|
Araceae |
Syngonium podophyllum Schott |
Hemiepífita |
3 |
||
|
Araceae |
Xanthosoma daguense Engl. |
Herbáceo |
CH |
2,3 |
|
|
Arecaceae |
Bactris setulosa H. Karst. |
Arbóreo |
LC/NT |
2,3 |
|
|
Arecaceae |
Chamaedorea linearis (Ruiz et Pav.) Mart. |
Arbóreo |
NT |
3 |
|
|
Arecaceae |
Chamaedorea pinnatifrons (Jacq.) Oerst |
Arbóreo |
LC |
3 |
|
|
Arecaceae |
Geonoma undata Klotzsch |
Arbóreo |
NT |
3 |
|
|
Arecaceae |
Phytelephas aequatorialis Spruce |
Arbóreo |
Ec Costa |
NT |
2,3 |
|
Bromeliaceae |
Aechmea angustifolia Poepp. et Endl. |
Epífito |
LC |
1,2 |
|
|
Bromeliaceae |
Aechmea mexicana Baker |
Epífito |
LC |
1 |
|
|
Bromeliaceae |
Aechmea nudicaulis (L.) Griseb |
Epífito |
LC |
1 |
|
|
Bromeliaceae |
Aechmea pyramidalis Benth. |
Epífito |
TCM |
LC |
1,3 |
|
Bromeliaceae |
Bromelia pinguin L. |
Herbáceo Terrestre |
LC |
1 |
|
|
Bromeliaceae |
Guzmania hitchcockiana L.B. Sm. |
Epífito |
CH |
VU |
2,3 |
|
Bromeliaceae |
Guzmania lingulata (L.) Mez |
Epífito |
LC |
3 |
|
|
Bromeliaceae |
Guzmania monostachia (L.) Rusby ex Mez |
Epífito |
LC |
1,2,3 |
|
|
Bromeliaceae |
Guzmania rhonhofiana Harms |
Epífito |
CH |
LC |
3 |
|
Bromeliaceae |
Guzmania sanguinea (André) André ex Mez |
Epífito |
LC |
3 |
|
|
Bromeliaceae |
Pitcairnia heterophylla (Lindl.) |
Epífito |
LC |
2 |
|
|
Bromeliaceae |
Racinaea multiflora (Benth.) M.A. Spencer et L.B. Sm. |
Epífito |
Ec |
LC |
1 |
|
Bromeliaceae |
Tillandsia acosta-solisii Gilmartin |
Epífito |
Ec Oeste |
EN |
3 |
|
Bromeliaceae |
Tillandsia cyanea Linden ex K. Koch |
Epífito |
Ec Costa |
NT |
2,3 |
|
Bromeliaceae |
Tillandsia complanata Benth. |
Epífito |
LC |
3 |
|
|
Bromeliaceae |
Tillandsia disticha Kunth |
Epífito |
TCM |
LC |
1,2 |
|
Bromeliaceae |
Tillandsia usneoides (L.) L. |
Epífito |
LC |
2 |
|
|
Bromeliaceae |
Tillandsia venusta Mez et Wercklé |
Epífito |
1 |
||
|
Bromeliaceae |
Tillandsia barclayana Baker |
Epífito |
CCHC* |
1 |
|
|
Commelinaceae |
Dichorisandra hexandra (Aubl.) C.B. Clarke |
Liana |
3 |
||
|
Commelinaceae |
Tradescantia zanonia (L.) Sw. |
Herbáceo Terrestre |
3 |
||
|
Costaceae |
Costus pulverulentus C. Presl |
Herbáceo Terrestre |
2 |
||
|
Cyclanthaceae |
Carludovica palmata Ruiz et Pav. |
Herbáceo Terrestre |
LC |
2 |
|
|
Cyclanthaceae |
Asplundia ecuadoriensis (Harl.) Harl. |
Liana |
T |
3 |
|
|
Heliconiaceae |
Heliconia latispatha Benth. |
Herbáceo |
2,3 |
||
|
Marantaceae |
Calathea marantifolia Standl. |
Herbáceo |
3 |
||
|
Marantaceae |
Calathea lutea (Aubl.) Schult. |
Herbáceo |
2 |
||
|
Marantaceae |
Calathea pachystachya (Poepp. et Endl.) Körn. |
Herbáceo |
T |
2,3 |
|
|
Orchidaceae |
Cryptocentrum latifolium Schltr. |
Epífito |
CITES App. II |
3 |
|
|
Orchidaceae |
Dichaea morrisii Fawc. et Rendle |
Epífito |
CITES App. II |
2,3 |
|
|
Orchidaceae |
Masdevallia nidifica Rchb. f. |
Epífito |
LC, CITES App. 2 |
3 |
|
|
Orchidaceae |
Maxillaria imbricata Barb. Rodr. |
Epífito |
CITES App. II |
3 |
|
|
Orchidaceae |
Notylia replicata Rchb. f. |
Epífito |
Ec |
VU |
1,2 |
|
Orchidaceae |
Oncidium riopalenqueanum Dodson |
Epífito |
Ec |
VU |
3 |
|
Orchidaceae |
Restrepia brachypus Rchb. f. |
Epífito |
LC |
3 |
|
|
Orchidaceae |
Sobralia powellii Schltr. |
Epífito |
CITES App. II |
3 |
|
|
Orchidaceae |
Stelis morganii Dodson et Garay |
Epífito |
TCM |
NE + CITES App. II |
3 |
|
Pontederiaceae |
Eichhornia crassipes (Mart.) Solms |
Epífito |
1 |
||
|
Zingiberaceae |
Renealmia oligosperma K. Schum. |
Herbáceo |
2,3 |
||
|
Acanthaceae |
Aphelandra attenuata Wassh. |
Arbustivo |
Ec |
VU |
2 |
|
Acanthaceae |
Pachystachys spicata (Ruiz et Pav.) Wassh. |
Arbustivo |
2 |
||
|
Acanthaceae |
Pseuderanthemum leptorhachis Lindau |
Subarbustivo |
Ec Oeste |
2 |
|
|
Acanthaceae |
Ruellia brevifolia (Pohl) C. Ezcurra |
Subarbustivo |
2,3 |
||
|
Acanthaceae |
Sanchezia parviflora Leonard |
Arbustivo |
Ec |
LC |
1,2 |
|
Anacardiaceae |
Mauria suaveolens Popp. et Endl. |
Arbóreo |
T |
2,3 |
|
|
Annonaceae |
Annona deceptrix (Westra) H. Rainer |
Arbóreo |
EN |
3 |
|
|
Annonaceae |
Annona oligocarpa R.E. Fr. |
Arbóreo |
EN |
2,3 |
|
|
Apocynaceae |
Asclepias curassavica L. |
Herbáceo |
1,2 |
||
|
Apocynaceae |
Aspidosperma myristicifolium (Markgr.) Woodson |
Arbóreo |
2,3 |
||
|
Apocynaceae |
Mesechites trifidus (Jacq.) Müll. Arg. |
Liana |
1 |
||
|
Apocynaceae |
Tabernaemontana amygdalifolia Jacq. |
Arbóreo |
LC |
2,3 |
|
|
Apocynaceae |
Rauvolfia tetraphylla L. |
Arbóreo |
3 |
||
|
Araliaceae |
Dendropanax macrocarpus Cuatrec. |
Arbóreo |
CH |
3 |
|
|
Asteraceae |
Hidalgoa ternata La Llave |
Liana |
1 |
||
|
Asteraceae |
Synedrella nodiflora (L.) Gaerth. |
Herbáceo |
1,2 |
||
|
Asteraceae |
Tessaria integrifolia Ruiz et Pav. |
Arbóreo |
1 |
||
|
Asteraceae |
Tilesia baccata (L.) Pruski |
Arbustivo |
1,2 |
||
|
Asteraceae |
Vernonanthura patens (Kunth) H. Rob. |
Arbóreo |
1,2 |
||
|
Begoniaceae |
Begonia glabra Aubl. |
Epífito |
3 |
||
|
Begoniaceae |
Begonia serotina A. DC. |
Herbáceo |
Ec Oeste |
EN |
3 |
|
Bignoniaceae |
Amphilophium ecuadorense A. H. Gentry |
Liana |
Ec Costa |
1 |
|
|
Bignoniaceae |
Arrabidaea candicans (Rich.) D. C. |
Liana |
2 |
||
|
Bignoniaceae |
Anemopaegma puberulum (Seibert) Miranda |
Liana |
2 |
||
|
Bignoniaceae |
Handroanthus chrysanthus (Jacq.) S. O. Grose |
Arbóreo |
1,2,3 |
||
|
Bignoniaceae |
Lundia corymbifera (Vahl) Sandwith |
Liana |
2 |
||
|
Bignoniaceae |
Macfadyena unguis-cati (L.) A.H. Gentry |
Liana |
1 |
||
|
Bignoniaceae |
Mansoa hymenaea (DC.) A. H. Gentry |
Liana |
3 |
||
|
Bignoniaceae |
Mansoa verrucifera (Schltdl.) A.H.Gentry |
Liana |
2,3 |
||
|
Boraginaceae |
Cordia alliodora (Ruiz et Pav.) Oken |
Arbóreo |
LC |
1,2,3 |
|
|
Boraginaceae |
Cordia collococca L. |
Arbóreo |
LC |
2,3 |
|
|
Boraginaceae |
Cordia hebeclada I. M. Johnston |
Arbóreo |
1 |
||
|
Boraginaceae |
Cordia lutea Lam. |
Arbóreo |
TCM |
1 |
|
|
Boraginaceae |
Cordia macrantha Chod. |
Arbóreo |
Ec Costa |
1 |
|
|
Boraginaceae |
Tournefortia glabra L. |
Arbustivo |
1,2,3 |
||
|
Boraginaceae |
Tournefortia volubilis L. |
Arbustivo, Liana |
3 |
||
|
Cactaceae |
Epiphyllum rubrocoronatum (Kimnach) Dodson et A.H. Gentry |
Epífito |
Ec |
CITES App. II |
3 |
|
Cactaceae |
Hylocereus polyrhizus (F.A.C Weber) Britton et Rose |
Epífito |
CITES App. II |
1 |
|
|
Cactaceae |
Rhipsalis baccifera (Sol.) Stearn |
Epífito |
LC + CITES App. II |
3 |
|
|
Cannabaceae |
Trema micrantha (L.) Blume |
Arbóreo |
1,2 |
||
|
Capparaceae |
Capparidastrum bonifazianum (Cornejo et Iltis) Cornejo et Iltis |
Arbóreo |
CCHC* |
NT |
2,3 |
|
Capparaceae |
Cynophalla heterophylla (Ruiz et Pav. ex DC.) Iltis et Cornejo |
Arbustivo |
CCHC* |
1 |
|
|
Capparaceae |
Cynophalla ecuadorica (Iltis) Iltis et Cornejo |
Arbóreo |
Ec Costa |
2,3 |
|
|
Cleomaceae |
Podandrogyne brevipedunculata Cochrane |
Herbáceo |
Ec Oeste |
EN |
3 |
|
Caricaceae |
Vasconcellea microcarpa (Jacq.) A. DC. |
Arbustivo |
2,3 |
||
|
Caricaceae |
Vasconcellea parviflora A. DC. |
Arbustivo |
T |
LC |
1 |
|
Celastraceae |
Salacia macrantha A. C. Sm. |
Arbóreo |
2 |
||
|
Clusiaceae |
Chrysochlamys dependens Planch. et Triana |
Arbóreo |
TCM |
2,3 |
|
|
Clusiaceae |
Clusia decussata Ruiz et Pav. ex Planch. et Triana |
Arbóreo, Epífito |
TCM |
2,3 |
|
|
Clusiaceae |
Garcinia madruno (Kunth) B. Hammel |
Arbóreo |
2,3 |
||
|
Convolvulaceae |
Ipomoea ophiodes Standley et Steyermak |
Liana |
1 |
||
|
Cucurbitaceae |
Gurania spinulosa (Poepp. et Endl.) Cogn. |
Liana |
2 |
||
|
Ericaceae |
Oreanthes ecuadorensis Luteyn |
Epífito |
Ec Oeste |
CR |
3 |
|
Olacaceae |
Heisteria acuminata (Bonpl.) Engl. |
Arbustivo |
2,3 |
||
|
Erythroxylaceae |
Erythroxylum glaucum O.E. Schulz |
Arbustivo |
T |
1,2 |
|
|
Euphorbiaceae |
Acalypha cuneata Poepp. |
Arbóreo |
1,2,3 |
||
|
Euphorbiaceae |
Acalypha diversifolia Jacq. |
Arbustivo |
2 |
||
|
Euphorbiaceae |
Alchornea leptogyna Diels |
Arbóreo |
Ec |
NT |
3 |
|
Euphorbiaceae |
Croton rivinifolius Kunth |
Arbustivo |
T |
EN |
1 |
|
Euphorbiaceae |
Tetrorchidium andinum Müll. Arg. |
Arbóreo |
3 |
||
|
Euphorbiaceae |
Sapium glandulosum (L.) Morong |
Arbóreo |
LC |
2,3 |
|
|
Fabaceae |
Acacia farnesiana (L.) Willd. |
Arbóreo |
1 |
||
|
Fabaceae |
Acacia macracantha Humb. et Bonpl. ex Willd. |
Arbóreo |
1 |
||
|
Fabaceae |
Albizia multiflora (Kunth) Barneby et J. W. Grimes |
Arbóreo |
TCM |
1 |
|
|
Fabaceae |
Pseudosamanea guachapele (Kunth) Harms. |
Arbóreo |
1 |
||
|
Fabaceae |
Bauhinia aculeata L. |
Arbustivo |
LC |
1 |
|
|
Fabaceae |
Caesalpinia glabrata Kunth |
Arbóreo |
T |
LC |
1,2 |
|
Fabaceae |
Dussia lehmannii Harm |
Arbóreo |
CH |
3 |
|
|
Fabaceae |
Erythrina megistophylla Diels |
Arbóreo |
Ec Costa |
NT |
2 |
|
Fabaceae |
Erythrina smithiana Krukoff |
Arbóreo |
Ec Oeste |
EN |
1,2 |
|
Fabaceae |
Geoffroea spinosa Jacq. |
Arbóreo |
2 |
||
|
Fabaceae |
Inga acuminata Benth. |
Arbóreo |
1,2,3 |
||
|
Fabaceae |
Inga carinata T. D. Penn. |
Arbóreo |
Ec Oeste |
EN |
2,3 |
|
Fabaceae |
Inga colonchensis Cornejo et Bonifaz |
Arbóreo |
CCHC* |
EN |
1,2 |
|
Fabaceae |
Inga edulis Mart. |
Arbóreo |
1 |
||
|
Fabaceae |
Inga laurina (Sw.) Willd. |
Arbóreo |
EN |
2,3 |
|
|
Fabaceae |
Inga sapindoides Willd. |
Arbóreo |
LC |
2 |
|
|
Fabaceae |
Leucaena trichodes (Jacq.) Benth. |
Arbóreo |
1 |
||
|
Fabaceae |
Machaerium millei Standl. |
Arbóreo |
Ec – Bol |
1 |
|
|
Fabaceae |
Pithecellobium lanceolatum (Humb. et Bonpl. ex Willd.) Benth. |
Arbóreo |
2 |
||
|
Fabaceae |
Pithecellobium excelsum (Kunth) Mart. |
Arbóreo |
T |
LC |
1 |
|
Fabaceae |
Prosopis juliflora (Sw.) DC. |
Arbóreo |
1 |
||
|
Fabaceae |
Pterocarpus officinalis Jacq. |
Arbóreo |
1,2 |
||
|
Fabaceae |
Senna dariensis (Britton et Rose) H. S. Irwin et Barneby |
Arbóreo |
TCM |
1,2 |
|
|
Fabaceae |
Senna mollissima (Humb. et Bonpl. ex Willd.) H. S. Irwin et Barneby |
Arbóreo |
1,2 |
||
|
Fabaceae |
Senna oxyphylla (Kunth) H. S. Irwin et Barneby |
Arbóreo |
CH |
LC |
1,2 |
|
Fabaceae |
Zapoteca tetragona (Willd.) H.M. Hern |
Arbustivo |
2,3 |
||
|
Gesneriaceae |
Alloplectus dodsonii Wiehler |
Herbáceo |
CH |
3 |
|
|
Gesneriaceae |
Codonanthe crassifolia (H. Focke) C.V. Morton |
Herbáceo Epífito |
3 |
||
|
Gesneriaceae |
Columnea eburnea (Wiehler) L. P. Kvist et L.E. Skog |
Herbáceo Epífito |
3 |
||
|
Gesneriaceae |
Columnea picta H. Karst. |
Herbáceo Epífito |
CH |
3 |
|
|
Gesneriaceae |
Columnea spathulata Mansf. |
Herbáceo Epífito |
CH |
3 |
|
|
Gesneriaceae |
Diastema racemiferum Benth. |
Herbáceo Epífito |
3 |
||
|
Gesneriaceae |
Drymonia ecuadorensis Wiehler |
Herbáceo Epífito |
Ec |
VU |
3 |
|
Gesneriaceae |
Gasteranthus oncogastrus (Hanst.) Wieler |
Herbáceo |
Ec |
2,3 |
|
|
Gesneriaceae |
Monopyle sodiroana Fritsch |
Herbáceo |
Ec Oeste |
EN |
3 |
|
Gesneriaceae |
Neomortonia nummularia (Hanst.) Wiehler |
Herbáceo |
3 |
||
|
Lamiaceae |
Aegiphila alba Moldenke |
Arbóreo |
CH |
2,3 |
|
|
Lamiaceae |
Cornutia pyramidata L. |
Arbóreo |
1,2 |
||
|
Lamiaceae |
Vitex gigantea Kunth |
Arbóreo |
T |
1,2 |
|
|
Lauraceae |
Beilschmiedia alloiophylla (Rusby) Kosterm. |
Arbóreo |
2,3 |
||
|
Lauraceae |
Nectandra subbullata Rohwer |
Arbóreo |
Ec – Ven |
VU |
2,3 |
|
Lauraceae |
Ocotea cernua (Nees) Mez |
Arbóreo |
2 |
||
|
Lauraceae |
Rhodostemonodaphne kunthiana (Nees) Rohwer |
Arbóreo |
2,3 |
||
|
Lecythidaceae |
Grias peruviana Miers |
Arbóreo |
T |
2,3 |
|
|
Lecythidaceae |
Gustavia serrata S.A. Mori |
Arbóreo |
Ec Costa |
EN |
2,3 |
|
Loranthaceae |
Phthirusa stelis (L.) Kuijt |
Arbustivo |
1 |
||
|
Malpighiaceae |
Bunchosia hookeriana A. Juss. |
Arbóreo |
T |
2,3 |
|
|
Malvaceae |
Corchorus hirtus L. |
Herbáceo |
1 |
||
|
Malvaceae |
Guazuma ulmifolia Lam. |
Arbóreo |
1,2 |
||
|
Malvaceae |
Heliocarpus americanus L. |
Arbóreo |
LC |
2,3 |
|
|
Malvaceae |
Matisia grandifolia Little |
Arbóreo |
CH |
EN |
2,3 |
|
Malvaceae |
Ochroma pyramidale (Cav. ex Lam.) Urban |
Arbóreo |
2,3 |
||
|
Malvaceae |
Pavonia schiedeana Steud. |
Arbustivo |
2 |
||
|
Malvaceae |
Pseudobombax guayasense A. Robyns |
Arbóreo |
Ec Costa |
DD |
3 |
|
Malvaceae |
Sida setosa Mart. ex Colla |
Arbustivo |
1 |
||
|
Marcgraviaceae |
Marcgraviastrum mixtum (Triana et Planch.) H. G. Bedell |
Arbustivo |
2,3 |
||
|
Melastomataceae |
Blakea subconnata O. Berg ex Triana |
Arbóreo |
Ec |
2,3 |
|
|
Melastomataceae |
Miconia astroplocama J. D. Sm. |
Arbóreo |
3 |
||
|
Melastomataceae |
Ossaea micrantha (Sw.) Macfad. ex Cogn. |
Arbóreo |
3 |
||
|
Melastomataceae |
Ossaea sparrei Wurdack |
Arbóreo |
Ec Oeste |
VU |
3 |
|
Melastomataceae |
Triolena barbeyana Cogn. |
Herbáceo |
TCM |
2 |
|
|
Meliaceae |
Carapa guianensis Aubl. |
Arbóreo |
LC |
3 |
|
|
Meliaceae |
Cedrela odorata L. |
Arbóreo |
VU |
1,2 |
|
|
Meliaceae |
Guarea macrophylla M. Vahl |
Arbóreo |
2,3 |
||
|
Meliaceae |
Ruagea glabra Triana et Planch. |
Arbóreo |
2,3 |
||
|
Meliaceae |
Trichilia pallida Sw. |
Arbóreo |
2,3 |
||
|
Meliaceae |
Trichilia elegans A. Juss. |
Arbóreo |
1,2 |
||
|
Menispermaceae |
Cissampelos pareira L. |
Liana |
2 |
||
|
Metteniusaceae |
Calatola costaricensis Standl. |
Arbóreo |
LC |
3 |
|
|
Moraceae |
Ficus bullenei I.M. Johnst. |
Arbóreo |
2,3 |
||
|
Moraceae |
Ficus cuatrecasasiana Dugand. |
Arbóreo |
2,3 |
||
|
Moraceae |
Ficus maxima Mill. |
Arbóreo |
2,3 |
||
|
Moraceae |
Ficus yoponensis Desv. |
Arbóreo |
1,2,3 |
||
|
Moraceae |
Maquira guianensis Aubl. |
Arbóreo |
2,3 |
||
|
Moraceae |
Sorocea sarcocarpa Lanj. et Wess. Boer |
Arbóreo |
Ec Oeste |
EN |
2,3 |
|
Monimiaceae |
Mollinedia ovata Ruiz et Pav. |
Arbustivo |
3 |
||
|
Siparunaceae |
Siparuna lepidota (Kunth) A. DC. |
Arbustivo |
CH |
2,3 |
|
|
Mutingiaceae |
Muntingia calabura L. |
Arbóreo |
1 |
||
|
Myrtaceae |
Myrcia splendens (Sw.) DC. |
Arbóreo |
2,3 |
||
|
Myrtaceae |
Eugenia oerstediana O. Berg |
Arbóreo |
1 |
||
|
Passifloraceae |
Passiflora foetida L. |
Trepadora |
LC |
1 |
|
|
Passifloraceae |
Passiflora macrophylla Spruce ex Mast. |
Arbustivo |
CH |
LC |
2,3 |
|
Passifloraceae |
Passiflora rubra L. |
Trepadora |
LC |
3 |
|
|
Phyllanthaceae |
Phyllanthus anisolobus Müll. Arg. |
Arbustivo |
2 |
||
|
Petiveriaceae |
Gallesia integrifolia (Spreng.) Harms |
Arbóreo |
1 |
||
|
Phytolaccaceae |
Phytolacca dioica L. |
Arbóreo |
2,3 |
||
|
Piperaceae |
Peperomia heterophylla Miq. |
Herbáceo Epífito |
2,3 |
||
|
Piperaceae |
Peperomia urocarpa Fisch. et C.A. Mey. |
Herbáceo Epífito |
3 |
||
|
Piperaceae |
Piper hispidum Sw. |
Arbustivo |
2,3 |
||
|
Piperaceae |
Piper laevigatum Kunth |
Arbóreo |
TCM |
LC |
2,3 |
|
Piperaceae |
Piper obliquum Ruiz et Pav. |
Arbóreo |
2,3 |
||
|
Piperaceae |
Piper squamulosum C. DC. |
Arbóreo |
Ec Oeste |
2,3 |
|
|
Plumbaginaceae |
Plumbago scandens L. |
Arbustivo |
1 |
||
|
Poaceae |
Guadua angustifolia Kunth |
Arbóreo |
2,3 |
||
|
Polygalaceae |
Monnina denticulata Ruiz et Pav. ex Chod. |
Arbustivo |
Ec Oeste |
2 |
|
|
Polygonaceae |
Coccoloba ovata Benth. |
Arbóreo |
1 |
||
|
Polygonaceae |
Triplaris cumingiana Fisch. et Mey. ex C. A. Mey. |
Arbóreo |
1,2 |
||
|
Primulaceae |
Jacquinia sprucei Mez |
Arbóreo |
T |
1 |
|
|
Primulaceae |
Clavija eggersiana Mez |
Arbóreo |
Ec Oeste |
2,3 |
|
|
Rhamnaceae |
Gouania polygama (Jacq.) Urb. |
Arbustivo |
1 |
||
|
Rhamnaceae |
Ziziphus thyrsiflora Benth. |
Arbóreo |
CHC* |
1 |
|
|
Rubiaceae |
Alseis eggersii Standl. |
Arbóreo |
T |
2,3 |
|
|
Rubiaceae |
Chiococca alba (L.) Hitchc. |
Arbustivo |
2 |
||
|
Rubiaceae |
Hamelia patens Jacq. |
Arbustivo |
3 |
||
|
Rubiaceae |
Ladenbergia pavonii (Lamb.) Standl. |
Arbóreo |
Ec |
NT |
3 |
|
Rubiaceae |
Palicourea guianensis Aubl. |
Arbóreo |
3 |
||
|
Rubiaceae |
Pentagonia grandiflora Standl. |
Arbóreo |
CH |
2,3 |
|
|
Rubiaceae |
Psychotria cornejoi C. M. Taylor |
Arbóreo |
Ec Costa |
2,3 |
|
|
Rubiaceae |
Psychotria hazenii Standl. |
Arbóreo |
TCM |
2,3 |
|
|
Rubiaceae |
Psychotria trichotoma M. Martens et Galeotti |
Arbóreo |
2,3 |
||
|
Rubiaceae |
Randia carlosiana K. Krause |
Arbóreo |
Ec Oeste |
EN |
2,3 |
|
Rutaceae |
Zanthoxylum fagara (L.) Sarg. |
Arbóreo |
1 |
||
|
Rutaceae |
Zanthoxylum riedelianum Engl. |
Arbóreo |
2,3 |
||
|
Salicaceae |
Casearia aculeata Jacq. |
Arbóreo |
LC |
1 |
|
|
Salicaceae |
Xylosma benthamii (Tul.) Triana et Planch. |
Arbóreo |
1 |
||
|
Sapindaceae |
Allophylus psilospermus Radlk. |
Arbóreo |
2 |
||
|
Sapindaceae |
Cupania latifolia Kunth |
Arbóreo |
2,3 |
||
|
Sapindaceae |
Paullinia pinnata L. |
Liana |
1 |
||
|
Sapindaceae |
Sapindus saponaria L. |
Arbóreo |
1 |
||
|
Sapindaceae |
Talisia setigera Radlk. |
Arbóreo |
Ec Oeste |
EN |
1 |
|
Sapindaceae |
Chrysophyllum argenteum Jacq. |
Arbóreo |
2,3 |
||
|
Sapotaceae |
Chrysophyllum venezuelanense (Pierre) T. D. Penn. |
Arbóreo |
3 |
||
|
Sapotaceae |
Pradosia montana T. D. Penn. |
Arbóreo |
T |
VU |
1 |
|
Solanaceae |
Acnistus arborescens (L.) Schltdl. |
Arbóreo |
1,2 |
||
|
Solanaceae |
Cestrum megalophyllum Dunal |
Arbustivo |
2,3 |
||
|
Solanaceae |
Juanulloa pavonii (Miers) Benth. et Hook. |
Arbustivo |
Ec Oeste |
3 |
|
|
Solanaceae |
Solanum subinerme Jacq. |
Arbustivo |
2 |
||
|
Solanaceae |
Witheringia riparia Kunth |
Arbustivo |
CH |
2,3 |
|
|
Primulaceae |
Clavija pungens (Willd. ex Roem. et Schult.) Decne. |
Arbustivo |
Ec Costa |
VU |
1 |
|
Urticaceae |
Cecropia angustifolia Trécul |
Arbóreo |
2,3 |
||
|
Urticaceae |
Cecropia litoralis Snethlage |
Arbóreo |
TCM |
2,3 |
|
|
Urticaceae |
Cecropia obtusifolia Bertol. |
Arbóreo |
LC |
2,3 |
|
|
Urticaceae |
Coussapoa villosa Poepp. et Endl. |
Arbóreo |
2,3 |
||
|
Urticaceae |
Urera caracasana (Jacq.) Gaudich. ex Griseb. |
Arbóreo |
2,3 |
||
|
Urticaceae |
Urera elata (Sw.) Griseb. |
Arbustivo |
2,3 |
||
|
Urticaceae |
Pilea involucrata (Sims) Urb. |
Herbáceo |
3 |
||
|
Verbenaceae |
Citharexylum chartaceum Moldenke |
Arbóreo |
T |
1 |
|
|
Verbenaceae |
Duranta repens L. |
Arbustivo |
1 |
||
|
Verbenaceae |
Lantana tiliifolia Cham. |
Arbustivo |
Ec – Pe – Br |
1 |
|
|
Verbenaceae |
Lantana svensonii Moldenke |
Arbustivo |
T |
1 |
|
|
Verbenaceae |
Stachytarpheta cayennensis (L. Rich.) M. Vahl |
Arbustivo |
|
|
2 |
Referencias
Aguirre, Z. (2013). Guía de métodos para medir la biodiversidad. Loja, Ecuador: Universidad Nacional de Loja. https://doi.org/10.26495/rtzh1810.226115
Aguirre, Z., Betancourt, Y., Geada, G. y Jasen, H. (2013). Composición florística y estructura de los bosques secos y su gestión para el desarrollo de la provincia de Loja, Ecuador. Avances, 15, 144–155. https://doi.org/10.22497/arnaldoa.241.24107
Aguirre, Z. y Delgado, T. (2005). Vegetación de los bosques secos de Cerro Negro-Cazaderos, occidente de la provincia de Loja. En M. A. Vásquez, J. F. Freile y L. Suárez (Eds.), Biodiversidad en los bosques secos de la zona de cerro Negro-Cazaderos, occidente de la provincia de Loja: un reporte de las evaluaciones ecológicas y socioeconómicas rápidas (pp. 9–24). Quito: EcoCiencia, MAE/ Proyecto Bosque Seco. https://doi.org/10.22497/arnaldoa.241.24107
Aguirre, Z., Kvist, L. P. y Sánchez, O. (2006). Bosques secos en Ecuador y su diversidad. Botánica Económica de los Andes Centrales, 2006, 162–187.
Aguirre, Z., Linares-Palomino, R. y Kvist, L. P. (2006). Especies leñosas y formaciones vegetales en los bosques estacionalmente secos de Ecuador y Perú. Arnaldoa, 13, 324–350.
Aragón, E., Garza, A., González, S. y Luna, I. (2010). Composición y estructura de las comunidades vegetales del rancho El Durangueño, en la sierra Madre Occidental, Durango, México. Revista Mexicana de Biodiversidad, 81, 771–787.
Astudillo, E., Pérez, J. y Fabara, M. (2015). Árboles y arbustos: una relación con la avifauna. Samborondón: Universidad Espíritu Santo, Ecuador.
Astudillo, E., Pérez, J. Troccoli, L. Aponte, H. y Tinoco, O. (En prensa). Flora leñosa del bosque de garúa de la cordillera Chongón Colonche, Santa Elena, Ecuador. Revista Ecología Aplicada.
Becker, C. D. (1999). Protecting a garua forest in Ecuador: the role of institutions and ecosystem valuation. Ambio, 28, 156–161.
Becker, C., Agreda, A., Astudillo, E. K., Costantino, M. y Torres, P. (2005). Community-based monitoring of fog capture and biodiversity at Loma Alta, Ecuador: enhanced social capital and institutional cooperation. Biodiversity and Conservation, 14, 156–161. https://doi.org/10.1007/s10531-005-8402-1
Bonifaz, C. y Cornejo, X. (2004). Flora del bosque de Garúa (árboles y epifitas) de la Comuna Loma Alta, cordillera Chongón Colonche, provincia del Guayas, Ecuador. San Luis Missouri: Missouri Botanical Garden Press.
Boyer, J., Fourqrean, J. y Jones, R. (1997). Spatial characterization of water quality in Florida Bay and Whitewater Bay by multivariate analyses: zones of similar influence. Estuaries, 20, 743–758. https://doi.org/10.2307/1352248
Bremer, B., Bremer, K., Chase, M., Fay, M., Reveal, J., Soltis, D. et al. (2009). An update of the Angiosperm phylogeny group classification for the orders and families of flowering plants: APG III. Botanical Journal of the Linnean Society, 161, 105–121. https://doi.org/10.1111/j.1095-8339.2009.00996.x
Campo, A. M. y Duval, V. S. (2014). Diversidad y valor de importancia para la conservación de la vegetación natural. Parque Nacional Lihué Calel (Argentina) 1. Anales de Geografía de la Universidad Complutense, 34, 25. https://doi.org/10.5209/rev_aguc.2014.v34.n2.47071
CEPF (Critical Ecosystem Partnership Fund). 2005. Corredor de Conservación Chocó-Manabí Ecorregión Terrestre Prioritaria del Chocó-Darien-Ecuador Occidental (Hotspot), 42 pp.
Clarke, K. R. y Gorley, R. N. (2006). PRIMER V6: use manual – tutorial. Plymouth Marine Laboratory.
Clarke, K. R. y Warwick, R. M. (2001). Change in marine communities: an approach to statistical analyses and interpretation, 2nd Ed. Plymouth, RU: Primer-E.
Colwell, R. K. y Coddington, J. A. (1994). Estimating terrestrial biodiversity through extrapolation. Philosophical Transactions: Biological Sciences, 345, 101–118.
Colwell, R. K. y Hurt, G. C. (1994). Nonbiological gradients in species richness and a spurious Rapoport effect. The American Naturalist, 144, 570–595. https://doi.org/10.1086/285695
Colwell, R. K. y Lees, D. C. (2000). The mid-domain effect: geometric constraints on the geography of species richness. Trends in Ecology and Ecology, 15, 70–76. https://doi.org/10.1016/s0169-5347(99)01767-x
Cornejo, X. (2018). Libro rojo de las plantas endémicas del Ecuador: endemismo en la región litoral. Recuperado el 07 de mayo de 2019, de https://bioweb.bio/floraweb/librorojo/litoral/
Cottam, G. y Curtis, J. T. (1956). The use of distance measures in phytosociological sampling. Ecology, 37, 451–460. https://doi.org/10.2307/1930167
Cuesta, F., Peralvo, M., Baquero, F., Bustamante M., Merino, A., Muriel, P. et al. (Eds.). (2013). Identificación de vacíos y prioridades de conservación en el Ecuador Continental. Quito: Consorcio para el Desarrollo Sostenible de la Ecorregión Andina.
Cuesta, F., Peralvo, M., Merino-Viteri, A., Bustamante, M., Baquero, F., Freile, J. F. et al. (2017). Priority areas for biodiversity conservation in mainland Ecuador. Neotropical Biodiversity, 3, 93–106. https://doi.org/10.1080/23766808.2017.1295705
Curtis, J. (1959). The vegetation of Wisconsin. An ordination of plant communities. Madison: University of Wisconsin Press.
Dodson, C. H. y Gentry, A. H. (1978). Flora of the Río Palenque Science Center, Los Ríos, Ecuador. Selbyana, 4, 1-628. https://www.jstor.org/stable/41759574
Dodson, C. H. y Gentry, A. H. (1991). Biological extinction in western Ecuador. Annals of the Missouri Botanical Garden, 78, 273–295. https://doi.org/10.2307/2399563
Dodson, C. H., Gentry, A. H. y Valverde, F. M. (1985). Flora de Jauneche. Quito: Banco Central del Ecuador.
Espinosa, C. I., De la Cruz, M., Luzuriaga, A. L. y Escudero, A. (2012). Bosques tropicales secos de la región Pacífico Ecuatorial: diversidad, estructura, funcionamiento e implicaciones para la conservación. Revista Ecosistemas, 21, 1–2.
Fundación Natura y KfW- Kreditanstalt für Wiederaufbau (KfW). (1996). Proyecto de reforestación y conservación de la Cordillera de Chongón-Colonche “Eduardo Aspiazu Estrada (estudio de factibilidad, Informe Final. Tomo II b, Manejo y Protección del Bosque Protector). Hamburgo: Luso Consult.
GADM (Gobierno Autónomo Descentralizado Municipal) Santa Elena. (2014). Plan de Desarrollo y Ordenamiento Territorial, Cantón Santa Elena 2014-2019. Santa Elena, Ecuador: GADM, Santa Elena.
García-Villacorta, R. (2009). Diversidad, composición y estructura de un hábitat altamente amenazado: los bosques estacionalmente secos de Tarapoto, Perú. Revista Peruana de Biología, 16, 81–92. https://doi.org/10.15381/rpb.v16i1.177
Gentry, A. H. (1995). Diversity and floristic composition of neotropical dry forest. En S. H. Bullock, H. A. Mooney, E. Medina (Eds.), Seasonally dry tropical forest. Cambridge: Cambridge University Press. https://doi.org/10.1017/cbo9780511753398.007
Girardin, C. A., Farfán-Ríos, W., García, K., Feeley, K. J., Jorgensen, P. M., Murakami, M. M. et al. (2014). Spatial patterns of above-ground structure, biomass and composition in a network of six Andean elevation transects. Plant Ecology & Diversity, 7, 161–171. https://doi.org/10.1080/17550874.2013.820806
Grytnes, J. A. y McCain, C. M. (2007). Elevational trends in biodiversity. Encyclopedia of Biodiversity, 2, 1-8. https://doi.org/10.1016/b978-012226865-6/00503-1
Hammer, O., Harper, D. A. T. y Ryan, P. D. (2001). PAST: Paleontological Statistics software package for education and data analysis. Paleontologia Electronica, 4 .
Jadán, O., Veintimilla, D., Ponce, E., González, M., Waise, H. y Aguirre, Z. (2014). Identificación y caracterización florística de bosques naturales en el Bosque Protector Chongón Colonche, Ecuador. Revista Bosques Latitud Cero, 4, 7–14.
Jørgensen, P. M. y León-Yánez, S. (1999). Catálogo de las plantas vasculares del Ecuador. Monographs in Systematic Botany from the Missouri Botanical Garden, 75, 1–1181.
Josse, C., Navarro, G., Comer, P., Evans, R., Faber-Langendoen, D., Fellows, M. et al. (2003). Ecological systems of Latin America and the Caribbean: a working classification of terrestrial systems. Arlington, VA.: Nature Serve.
Koleff, P., Gaston, K. y Lennon, J. (2003). Measuring beta diversity for presence-absence data. Journal of Animal Ecology, 72, 367–382. https://doi.org/10.1046/j.1365-2656.2003.00710.x
La Torre-Cuadros, M. A. y Linares-Palomino, R. (2008). Mapas y clasificación de vegetación en ecosistemas estacionales: un análisis cuantitativo de los bosques secos de Piura. Revista Peruana de Biología, 15, 31–42. https://doi.org/10.15381/rpb.v15i1.1668
Leal-Pinedo, J. M. y Linares-Palomino, R. (2005). Los bosques secos de la Reserva de Biosfera del Noroeste (Perú): diversidad arbórea y estado de conservación / The dry forests of the Biosphere Reserve of Northwestern (Peru): tree diversity and conservation status. Caldasia, 27, 195–211.
León-Yánez, S., Valencia, R., Pitman, N., Endara, L., Ulloa, C. y Navarrete, H. (2011). Libro rojo de las plantas endémicas del Ecuador, segunda edición. Quito: Publicaciones del Herbario QCA, Pontificia Universidad Católica del Ecuador.
Linares-Palomino, R., Kvist, L. P., Aguirre-Mendoza, Z. y Gonzales-Inca, C. (2010). Diversity and endemism of woody plant species in the Equatorial Pacific seasonally dry forests. Biodiversity and Conservation, 19, 169–185. https://doi.org/10.1007/s10531-009-9713-4
López, A. M., y Williams, G. (2006). Evaluación de métodos no paramétricos para la estimación de riqueza de especies de plantas leñosas en cafetales. Boletín de la Sociedad Botánica de México, 78, 7–15. https://doi.org/10.17129/botsci.1717
MAE (Ministerio del Ambiente del Ecuador). (2006). Políticas y Plan Estratégico del Sistema Nacional de Áreas Protegidas del Ecuador 2007 – 2016. Proyecto GEF: Sistema Nacional de Áreas Protegidas. Quito, Ecuador.
MAE (Ministerio del Ambiente del Ecuador). (2013). Sistema de Clasificación de los Ecosistemas del Ecuador Continental. Subsecretaría de Patrimonio Natural. Quito.
Magurran, A. E. (1988). Ecological diversity and its measurement. New Jersey: Princeton University Press.
Marcelo-Peña, J. L., Reynel-Rodríguez, C., Zevallos-Pollito, P., Bulnes-Soriano, F. y Pérez-Ojeda del Arco, A. (2007). Diversidad, composición florística y endemismos en los bosques estacionalmente secos alterados del distrito de Jaén, Perú. Ecología Aplicada, 6, 9–22. https://doi.org/10.21704/rea.v6i1-2.336
McCain, C. M. y Grytnes, J. A. (2010). Elevational gradients in species richness. En Encyclopedia of Life Sciences (ELS). Chichester, RU: John Wiley & Sons. https://doi.org/10.1002/9780470015902.a0022548
McCune, B., Grace, J. B. y Urban, D. L. (2002). Analysis of ecological communities. MJM Software Desig.
Medrano-Meraz, M. D. J., Hernández, F. J., Corral-Rivas, S. y Nájera-Luna, J. A. (2017). Diversidad arbórea a diferentes niveles de altitud en la región de El Salto, Durango. Revista Mexicana de Ciencias Forestales, 8, 57–68. https://doi.org/10.29298/rmcf.v8i40.36
Moreno, C. E. (2001). Métodos para medir la biodiversidad. M&T- Manuales y Tesis SEA, Vol. 1. Zaragoza.
Newton, A. (2007). Forest ecology and conservation: a handbook of techniques. Oxford: Oxford University Press.
Pennington, R. T., Ratter, J. A. y Lewis, G. P. (2006). An overview of the plant diversity, biogeography and conservation of neotropical savannas and seasonally dry forests: plant, diversity, biogeography, and conservation. Boca Raton: CRC Press. https://doi.org/10.1201/9781420004496-1
Poulin, R. (1998). Comparison of three estimators of species richness in parasite component communities. The Journal of Parasitology, 84, 485–490. https://doi.org/10.2307/3284710
Ramírez, A. (2006). Ecología: métodos de muestreo y análisis de poblaciones y comunidades. Bogotá: Pontificia Universidad Javeriana.
Sierra, R. (Ed.). (1999). Propuesta preliminar de un sistema de clasificación de vegetación para el Ecuador continental. Quito: Proyecto INEFAN/ GERF-BIRF/ Ecociencia.
Soler, E., Berroterán, P., Gil, J. y Acosta, R. (2012). Índice valor de importancia, diversidad y similaridad florística de especies leñosas en tres ecosistemas de los llanos centrales de Venezuela. Agronomía Tropical, 62, 025–038.
Tamariz, I. (2016). Propuesta de un sistema de aprovechamiento pluvial para una escuela de la Comuna Loma Alta (Tesis). Escuela de Ciencias Ambientales, Facultad de Artes Liberales y Ciencias de la Educación, Universidad de Especialidades Espíritu Santo. Samborondón, Ecuador.
Tropicos. (2019). Recuperado el 05 de mayo de 2019, de http://www.tropicos.org
UICN (Unión Internacional para la Conservación Naturaleza). (2019). Recuperado el 05 de mayo de 2019, de http://www.iucnredlist.org/search.
Valdez-Hernández, M., Sánchez, O., Islebe, G.A., Snook, L.K., y Negreros-Castillo, P. (2014). Recovery and early succession after experimental disturbance in a seasonally dry tropical forest in Mexico. Forest Ecology and Management, 334, 331–343. https://doi.org/10.1016/j.foreco.2014.09.018
Valverde, F. M., García, C. y Rodríguez, G. (1991). Estado actual de la vegetación natural de la Cordillera de Chongón Colonche. Guayaquil. Facultad de Ciencias Naturales, Universidad de Guayaquil.
Valverde, F. M. y Pérez, J. (2012). La biodiversidad vegetal, como capital natural de la sostenibilidad en la Costa Ecuatoriana. Guayaquil: Programa Editorial de la M.I., Municipalidad de Santiago de Guayaquil.
Valverde, F. M., Rodríguez, G. y García, C. (1979). Cubierta vegetal de la península de Santa Elena. I parte: península de Santa Elena. Guayaquil: Universidad de Guayaquil.
Whittaker, R. H. (1960). Vegetation of the Siskiyou mountains, Oregon and California. Ecological Monographs, 30, 279–338. https://doi.org/10.2307/1943563
Wilson, M. V. y Shmida, A. (1984). Measuring beta diversity with presence-absence data. Journal of Ecology, 72, 1055–1064. https://doi.org/10.2307/2259551
Yepes, A., Jaramillo, S., del Valle, J. y Orrego, S. (2007). Diversidad y composición florística en bosques sucesionales andinos de la región del río Porce, Colombia. Actualidades Biológicas, 29, 107–117.
Zacarías, L., Cornejo, G., Cortés, J., González, N. y Ibarra, G. (2011). Composición, estructura y diversidad del cerro El Águila, Michoacán, México. Revista Mexicana de Biodiversidad, 82, 854–869. https://doi.org/10.7550/rmb.43457
Zar, J. (1996). Biostatistical analysis. New Jersey: Prentice Hall.
