Ecofisiología de la germinación de Acaena elongata (Rosaceae), una especie indicadora de perturbación de un bosque templado, al sur de la Ciudad de México
Patricia Guadarrama a, Luis Salinas-Peba a, Xavier Chiappa-Carrara a y
José Alberto Ramos-Zapata b, *
a Departamento de Ecología y Recursos Naturales, Facultad de Ciencias, Circuito Exterior, Cd. Universitaria, Universidad Nacional Autónoma de México, 04510 Ciudad de México, México
b Departamento de Ecología Funcional, Instituto de Ecología, Universidad Nacional Autónoma de México, Apartado Postal 70-275, Coyoacán, 04510 Ciudad de México, México
*Autor para correspondencia: yurimar29@yahoo.com.mx (Y. Martínez-Orea)
Resumen
Las crecientes actividades antrópicas en los ecosistemas forestales han modificado sus condiciones ambientales y por lo tanto su composición de especies. Las especies tolerantes a los cambios ocupan los sitios perturbados, por ejemplo, Acaena elongata en el bosque de oyamel de la cuenca del río Magdalena, al sur de la Ciudad de México. Con el objetivo de conocer la relación entre la alta abundancia de este arbusto con la disminución de la cobertura forestal se comparó la germinación entre semillas: 1) escarificadas y no escarificadas en sitios con diferentes condiciones del dosel, 2) con diferentes tiempos de almacenamiento (2 y 13 meses) y 3) puestas a germinar en diferentes calidades de luz (blanca, roja, roja lejana) y en oscuridad, en condiciones controladas. Los resultados mostraron que i) la escarificación favoreció significativamente la germinación, ii) la germinación fue indiferente a la luz y iii) un año de almacenamiento no redujo significativamente su germinación. Esta especie es exitosa colonizando ambientes perturbados ya que germina bajo los diferentes ambientes lumínicos creados por distintas coberturas del dosel del bosque, aunado a una germinación discontinua en el tiempo.
Palabras clave:
Germinación indiferente a la luz; Escarificación de semillas; Almacenamiento de semillas; Perturbación antropogénica
© 2018 Universidad Nacional Autónoma de México, Instituto de Biología. Este es un artículo Open Access bajo la licencia CC BY-NC-ND
Germination ecophysiology of Acaena elongata (Rosaceae), a perturbation indicator species in a temperate forest, south of Mexico City
Abstract
The increase of anthropic activities in forest ecosystems has modified their environmental conditions and therefore their species composition. Species that endure these changes inhabit disturbed sites, as is the case of Acaena elongata in the fir forest in the Magdalena river basin, south of Mexico City. With the aim to explore the relationship between the high abundance of this species with the decrease in forest cover we compared the germination between seeds: 1) scarified and non-scarified in sites with different canopy covers, 2) with different storing ages (2 and 13 months), and 3) set to germinate under different light conditions (white, red, far red) and darkness, in germination chambers. Results showed that i) scarification favored significantly germination, ii) germination was indifferent to light, and iii) a year of storing did not reduce significantly their germination. This species is successful colonizing perturbed environments since it germinates under different light environments created by different canopy covers in the forest, with discontinuous germination along time.
© 2018 Universidad Nacional Autónoma de México, Instituto de Biología. This is an open access article under the CC BY-NC-ND license
Keywords:
Indifferent to light germination; Seed scarification; Seed storage; Anthropogenic perturbation
Introducción
En la actualidad, la fragmentación y la pérdida de los hábitats naturales son procesos con un marcado componente antropogénico que afectan la biodiversidad de nuestro planeta (Fahrig, 2003; Gascon et al., 2000), provocando cambios significativos en la estructura, composición de especies y función de los ecosistemas (Murcia, 1995; Santibáñez-Andrade et al., 2015; Saunders et al., 1991).
La fragmentación del hábitat trae consigo cambios en los factores físicos como la composición espectral de la luz, la temperatura y la humedad del aire y del suelo (Liebsch et al., 2008; Murcia, 1995), afectando los procesos de regeneración de las plantas (Chen et al., 1995; Laurence et al., 1998), como la producción y germinación de semillas (Aizen y Feinsinger, 1994; Bruna, 1999; Murcia, 1996), y el establecimiento de nuevos individuos (Turner et al., 2005), o bien, favoreciendo el desarrollo de malezas, especies que suelen tolerar condiciones extremas (Bryson y Carter, 2004; Liebsch et al., 2008).
La germinación de semillas es un evento fundamental en la regeneración de las comunidades vegetales por representar el estadio inicial del ciclo de vida de las plantas (Murdoch y Ellis, 2000). Las semillas poseen mecanismos bioquímicos que les permiten reaccionar a los estímulos ambientales, por lo tanto, la quiescencia, latencia, germinación y el vigor de las plántulas que originan, además de estar condicionadas por el genotipo también dependen de las condiciones ambientales durante su ontogénesis, permanencia en el suelo y germinación (Bewley et al., 2013; Figueroa et al., 2004).
Además de los requerimientos de agua, temperatura y oxígeno para la germinación, la luz es una señal importante para las especies que se establecen en lugares perturbados o desprovistos de un dosel vegetal (Pons, 2000). En la germinación regulada por la luz, o fotoblastismo, los fitocromos (proteínas que funcionan como fotorreceptores de señales luminosas) definen la activación o inhibición de este proceso (Chung y Paek, 2003; Klein y Felippe, 1991). Dado que la luz roja (660 nm) es absorbida en mayor proporción por el dosel que la luz roja lejana (730 nm), las semillas fotoblásticas detectan la formación de un claro por el incremento de la relación rojo: rojo lejano (LR: RL) en la superficie del suelo mediante el fotoequilibrio del fitocromo (Baskin y Baskin, 2014).
Adicionalmente, las semillas de algunas especies necesitan condiciones específicas para romper su latencia, es decir, el bloqueo físico o fisiológico inherente a ellas que impide la germinación, por ejemplo: la impermeabilidad de la cubierta protectora, la inmadurez del embrión o la presencia de sustancias inhibidoras (Fenner y Thompson, 2005). Los mecanismos que rompen la latencia física son aquellos que vuelven permeable a la cubierta seminal como temperaturas altas o la escarificación química o mecánica, mientras que los mecanismos que rompen la latencia fisiológica consisten en periodos de postmaduración, la exposición a temperaturas bajas o la adición exógena de ácido giberélico (Baskin y Baskin, 2014).
La investigación en la germinación de especies que caracterizan sitios perturbados es crucial para entender los procesos de la regeneración natural (Orozco-Segovia y Sánchez-Coronado, 2013), por ejemplo, A. elongata, una de las especies indicadoras de perturbación más frecuentes de los bosques de Abies religiosa del centro de México (García, 2002). Santibáñez-Andrade et al. (2015) reporta que A. elongata se hace dominante en sitios abiertos con mayor perturbación de la cuenca del río Magdalena. Aunque de acuerdo con Sánchez-González et al. (2005) existe un pobre entendimiento del grado y naturaleza del disturbio requerido para que las especies secundarias sean favorecidas en su germinación y por lo tanto incrementen sus abundancias.
Debido a que una mayor incidencia de luz podría estimular el óptimo desarrollo de A. elongata, esperamos: a) que su germinación se encuentre relacionada con una mayor apertura de dosel y una relación R: RL mayor, b) que el almacenamiento a temperatura ambiente no afecte la viabilidad de las semillas y c) debido a que el tejido fibroso que rodea a la semilla podría ser impermeable al agua, esperamos que la escarificación favorezca el proceso de imbibición.
Dado que los frutos en esta especie son las unidades de dispersión y cada fruto contiene una semilla, en adelante nos referimos a los frutos de esta especie como semillas. Los objetivos de este estudio fueron comparar la germinación entre semillas escarificadas y no escarificadas en sitios con diferente apertura de dosel, y entre semillas recién colectadas y almacenadas durante 1 año en diferentes calidades de luz (blanca, roja, roja lejana, oscuridad) en condiciones controladas.
Materiales y métodos
Acaena elongata es una planta arbustiva nativa de México, que habita zonas montañosas y sitios perturbados (Calderón-de Rzedowski y Rzedowski, 2005). Mide entre 25 y 100 cm de alto, sus hojas tienen una longitud de 0.7 a 2 cm, sus flores son pequeñas y sus frutos son secos e indehiscentes con una longitud de 5 a 8.5 mm y un diámetro de 3 a 5 mm. Estos se encuentran rodeados por numerosos apéndices de 2 a 3 mm de largo y albergan una semilla de aproximadamente 6 mg y 5 mm de longitud (Calderón-de Rzedowski y Rzedowski, 2005).
El bosque de A. religiosa ocupa el 40% de superficie de la cuenca del río Magdalena, al sur de la Ciudad de México (Galeana, 2008). Se localiza entre los 2,750 y 3,500 m snm (Nava-López, 2003). Presenta clima semifrío, el más húmedo de los subhúmedos [Cb’ (w2)(w)], con una temperatura media anual de 5 a 13 °C y una precipitación anual de 1,300 mm (Dobler, 2010). El periodo seco abarca de noviembre a abril y el de lluvias de mayo a octubre (Estación Meteorológica Nacional: 00009037 Presa Ansaldo). Su suelo es de tipo andosol húmico y de clase franco-arenoso (65% arenas, 19.6% limos y 17.4% arcillas) (León, 2011), es rico en materia orgánica (Calderón-de Rzedowski y Rzedowski, 2005), tiene una profundidad promedio de 29.1 cm (máxima: 50 cm y mínima: 10 cm) y un pH que varía de 4.5 a 5.9 (Nava-López, 2003).
Con el propósito de incluir ambientes con menor y mayor cobertura del dosel, se delimitaron 4 parcelas de 10 m2 cerca de un camino principal y 4 parcelas a 40 m de distancia de éste. En abril de 2013, en el centro de cada parcela y a 0 m del suelo se tomó una fotografía hemisférica (Nikon modelo 80, EUA) con una lente ojo de pescado (EX SIGMA 4.5 mm F2.8 DC HSM, EUA) para la estimación de los porcentajes de apertura del dosel y luz transmitida con el programa Gap Light Analyzer (GLA) 2.0 (Frazer et al., 1999). Entre las 10:30 y 12:30 horas, se midió mensualmente en cada parcela: la temperatura (°C) del aire con un termohigrómetro (Sper Scientific Direct, modelo 800017, EUA), y la relación R: RL a partir del promedio de 5 mediciones en puntos aleatorios a nivel del suelo con un radiómetro (Skye Instruments, SKR 100, Reino Unido). También de manera mensual se tomaron aproximadamente 100 g de suelo por parcela para calcular la humedad relativa del suelo a partir de la relación entre peso húmedo y peso seco: Humedad relativa = peso húmedo-peso seco/peso seco*100
Recolecta de semillas. En abril de 2013 se recolectaron, de al menos 20 individuos, 3,330 semillas secas en total, de las cuales 450 se almacenaron en una bolsa de papel a temperatura ambiente (máxima 23 ± 3 °C y mínima 10 ± 3 °C) y a 53% de humedad relativa. El número de semillas restante se utilizó para el experimento en campo. En abril de 2014, se recolectaron 450 semillas para el experimento en condiciones controladas.
Germinación en campo. Debido a que en pruebas previas al montaje del experimento la sospecha de una latencia física tuvo lugar al ocurrir la germinación poco después de un procedimiento de escarificación sobre la semilla, se ejecutó este procedimiento en 1,440 semillas 1 semana después de la recolecta y se realizó la remoción manual con pinzas de una porción longitudinal del pericarpio de la semilla (fruto) para permitir su hidratación. Se elaboraron 48 bolsas de 15 cm2 de malla de polipropileno con abertura de 1 mm2. Se introdujeron 30 semillas escarificadas (E) en 24 bolsas y 30 no escarificadas (NE) en las 24 restantes. En cada una de las parcelas se sembraron 6 bolsas de cada tipo de semillas dispuestas en 2 diagonales opuestas con una intersección en el centro de la parcela. De abril a septiembre de 2013, se registró mensualmente la germinación por parcela. Las semillas germinadas iban siendo descartadas de las bolsas, las cuales se volvían a colocar en su lugar.
Germinación en el laboratorio. En mayo de 2014 se desinfectaron 450 semillas almacenadas de la primera y segunda recolecta, con hipoclorito de sodio al 1% durante 3 minutos. En este caso ya no se realizaron escarificaciones porque para ese entonces ya conocíamos que el tejido fibroso del pericarpio no es una barrera impermeable para la imbibición. Se sembraron 30 semillas NE en 24 cajas de Petri (9 cm de diámetro) con papel absorbente (previamente esterilizado) húmedo como sustrato. Las cajas se sellaron con una película plástica (Egapack, México) y se formaron 4 tratamientos con 3 réplicas por cohorte; los tratamientos fueron: 1) luz blanca (LB; densidad de flujo fotónico (DFF) = 33.21 µmoles m-2 s-1, R: RL = 1.73; 2) luz roja (LR; DFF = 5.18 µmoles m-2 s-1, R: RL = 3.39); 3) luz roja lejana (RL; DFF = 1.2 µmoles m-2 s-1, R: RL= 0.05), y 4) oscuridad (O). La DFF, entre 400 y 700 nm, fue medida con un cuantómetro (Apogee, model MQ-200, Apogee Instruments, Inc., Logan, UT, USA) y la relación R: RL (R = 640 – 670 y RL = 690 – 748 nm) fue medida con un radiómetro SKR-100 (Skye Instruments, Scotland). Para el tratamiento LR, las cajas de Petri se introdujeron en una caja de plexiglass (48 × 32 × 8 cm) rojo (de 3 mm de espesor, Serie 2424 Rohm and Hass, México). Para el tratamiento LRL, las cajas de Petri se introdujeron en una caja construida con una capa de plexiglass rojo y una capa de pexiglass azul (Serie 2423). Para el tratamiento O, las cajas de Petri se envolvieron con papel aluminio. Las cajas se colocaron en una cámara de ambiente controlado (Nuaire modelo I-36LL, EUA) a 22 °C/20 °C, con un fotoperiodo 16/8. Las cámaras estaban equipadas con lámparas fluorescentes OSRAM de 17 watts y 60% de humedad relativa. Durante 30 días, cada 2 días, se registró la germinación en las cajas LB y hasta el día 30 el número total de radículas en los demás tratamientos.
Análisis de datos de germinación. Los porcentajes de germinación se transformaron con el arcoseno de la raíz cuadrada (Zar, 1999) y en el caso de la germinación en el campo, se relacionaron con el tiempo utilizando una función exponencial sigmoide: y = a/(1+(b*xc)). El ajuste de las curvas se realizó en el programa Table Curve 2D 5.01 (AISN, Chicago IL, EUA). A partir del ajuste, se estimó el tiempo de inicio de germinación y la tasa máxima de germinación (velocidad máxima de germinación a partir de la primera derivada máxima de la curva). Para determinar los efectos de la apertura de dosel y de la escarificación, para los tratamientos de campo, o en su caso, el tiempo de almacenamiento y tratamiento de luz para los experimentos en ambiente controlado se realizaron análisis de varianza (Anva) o pruebas Kruskal-Wallis, según la normalidad de los residuales. El valor de significancia utilizado fue de 0.05. Los análisis se realizaron con el programa R 3.3.2, 2016 (R Core Team, Viena, Austria).
Resultados
Las parcelas próximas al camino principal presentaron un intervalo de apertura del dosel de 27.05-33.8%, mientras que las parcelas alejadas del camino mostraron un intervalo de 18.51-23.73%. El porcentaje de luz transmitida fue mayor en el primer grupo (38.73-60.3%), mientras que en el segundo grupo estuvo entre 27.65-34.33%; la relación R: RL para el primer grupo fue de 1.21-1.37 y para las parcelas más alejadas de 0.99-1.13. Los valores de humedad y temperatura durante el muestreo no variaron significativamente entre las parcelas cercanas y las alejadas del camino principal (R2humedad = 0.6609, p = 0.1870; R2temperatura = 0.30, p = 0.45); cabe mencionar, que el contenido de humedad del suelo incrementó durante los meses de julio a septiembre en todas las parcelas (fig. 1a).
La germinación inició en junio con el principio del periodo de lluvias en la zona de estudio (Estación Meteorológica Nacional: 00009037 Presa Ansaldo) (fig. 1). El periodo de germinación abarcó 120 días (de junio a agosto), después de 150 días ya no se observó más germinación (fig. 2). En la tabla 1 se encuentran los porcentajes de germinación acumulada por parcela.

|
Tabla 1 Germinación total (%) ± e. e. en las parcelas cerca de un camino principal: 1, 2, 3 y 4, y en las parcelas a 40 m de un camino principal: 5, 6, 7 y 8. |
||
|
Germinación promedio (%) ± error estándar |
||
|
Parcela |
Semillas escarificadas |
Semillas no escarificadas |
|
1 |
62.22 ± 15.67 |
45.55 ± 13.65 |
|
2 |
84.50 ±10.18 |
89.50 ± 4.84 |
|
3 |
67.78 ± 18.30 |
42.22 ± 16.02 |
|
4 |
62.22 ± 7.78 |
38.89 ± 10.60 |
|
5 |
69 ± 20.40 |
75.55 ± 6.19 |
|
6 |
53.33 ± 8.39 |
37.78 ± 10.60 |
|
7 |
72.22 ± 10.60 |
62 ± 3.33 |
|
8 |
87.78 ± 4.84 |
60.5 ± 8.39 |
La apertura del dosel no tuvo efecto en el comienzo de la germinación (X2 = 0.14785, p = 0.7006), en la tasa máxima de germinación (X2 =1.2399, p = 0.2655), ni en la capacidad germinativa (F1,44 = 0.102, p = 0.7509). El comienzo de la germinación y la tasa máxima de germinación para las parcelas aledañas al camino fueron de 28.85 ± 10.81 días y 1.22 ± 0.52% día-1, mientras que para las parcelas alejadas del camino fueron de 29.92 ± 10.39 días y 1.37 ± 0.43% día-1, respectivamente. El tratamiento de escarificación no tuvo un efecto sobre el comienzo de la germinación (X2 = 0.073007, p = 0.7870) ni en la tasa máxima de germinación (X2 = 0.95934, p = 0.3274). El Anva indicó que la apertura del dosel tampoco tuvo un efecto en la capacidad germinativa (F1,44 = 0.102, p = 0.7509). Sin embargo, la capacidad germinativa fue significativamente mayor en las semillas escarificadas 59.68 ± 21.78 vs. 55.97 ± 22.75 (F1,44 = 4.927, p = 0.0316). No se encontró efecto de la interacción apertura del dosel * tratamiento de escarificación en esta variable de respuesta (F1,44 = 0.031, p = 0.8621).

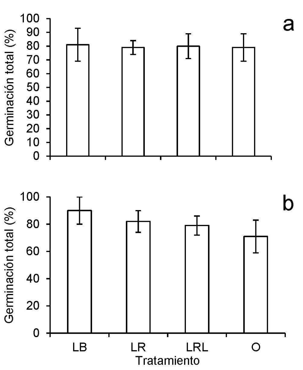
En ambiente controlado se observó que, aunque las semillas de 2 meses de almacenamiento comenzaron a germinar más rápido en comparación con las de 13 meses (fig. 4), el inicio de la germinación (F1,4 = 0.8470, p = 0.4090), la tasa máxima (F1,4 = 7.1960, p = 0.0551) y la capacidad germinativa (F1,4 = 1.1370, p = 0.3460) no difirieron entre cohortes. Por otra parte, la capacidad germinativa no difirió entre los tratamientos de luz y oscuridad (F3,16 = 1.5590, p = 0.2380), entre cohortes (F1,16 = 0.238, p = 0.632), ni entre la interacción tratamiento * tiempo de almacenamiento (F3,16 = 1.008, p = 0.415). Independientemente de la cohorte o del tratamiento de luz, la capacidad germinativa estuvo por arriba del 70% y se logró en sólo 30 días (figs. 3, 4).
Discusión
A diferencia de los ambientes tropicales, donde la presencia de hojas grandes y latifoliadas determina cocientes R: RL menores a 0.5 (Vázquez-Yanes et al., 1990), en el bosque de Abies religiosa en la cuenca del río Magdalena, el cociente R: RL fue cercano a 1, incluso en las parcelas alejadas del camino principal, lo que pudo deberse a que la menor área de las hojas de A. religiosa y su disposición tiene poco efecto sobre la reflexión y la transmisión de la luz (Roxburgh y Kelly, 1995).
Adicionalmente, la amplia dispersión de los valores de la relación R: RL en las parcelas interiores, indica que su ambiente lumínico es muy heterogéneo. Por otro lado, a pesar de que la humedad y la temperatura están relacionadas con el dosel y la vegetación del sotobosque (Conner, 1987; Rodríguez et al., 1999), las coberturas arbóreas del sitio de estudio no fueron suficientemente contrastantes entre los 2 tipos de parcelas.
El inicio de la germinación en el campo coincidió con el inicio del periodo de lluvias, 2 meses después de la siembra, con lo que se favorecieron los procesos de imbibición de las semillas. Debido a que la germinación acumulada ocurrió en 3 meses (fig. 2, tabla 1) y a que el estudio de Martínez-Camacho (2015) reportó un 95% de viabilidad (a través de tinciones con tetrazolio) en las semillas que no germinaron en campo, A. elongata podría presentar algún grado de heteromorfismo, definido como la variabilidad de rasgos morfofisiológicos de las diásporas de la misma especie (Orozco-Segovia y Sánchez-Coronado, 2009; Vázquez-Yanes y Orozco-Segovia, 1993), que en combinación con la variabilidad ambiental (Vleeshouwers et al., 1995) permiten que la germinación ocurra en diferentes momentos. La germinación retardada o esporádica podría ser ventajosa en un ambiente cambiante e impredecible (Conner, 1987).

Por otro lado, A. elongata probablemente presenta una latencia fisiológica no profunda ya que el efecto de la escarificación en las pruebas previas al experimento en campo (≥ 90% de viabilidad) pudo haberse empalmado con la maduración del embrión. Bewley et al. (2013) consideran que la germinación retardada de especies leñosas, especialmente de la familia Rosaceae, se debe más a una restricción del embrión que a una impuesta por su cubierta. Además, se sabe que la mayoría de las especies de bosques templados presentan latencia fisiológica (Baskin y Baskin, 2014). El pericarpio de A. elongata no constituye un impedimento para la emergencia de la radícula, ya que, aunque su germinación fue favorecida por la escarificación (59.68% y 55.97% para las no escarificadas) la germinación en ambos tratamientos fue muy semejante en términos de su respuesta fisiológica y ecológica. En otros estudios se ha reportado que la remoción del pericarpio incrementa la sensibilidad de las semillas (Hopper et al., 1985; Plummer et al., 1995).
La indiferencia a la luz de las semillas de A. elongata puede explicarse por su tamaño (5 mm, 6mg), ya que la influencia de este factor ambiental es mucho más fuerte en diásporas de menor tamaño y con menor tejido de reserva (Jankowska y Daws, 2007; Milberg et al., 2000), lo que coincide con la respuesta observada a diferentes calidades de luz y en oscuridad en ambientes controlados. Esto que sugiere que la germinación de A. elongata no está asociada con la pérdida de cobertura vegetal o con las alteraciones en el suelo. Considerando la germinación retardada y la viabilidad del 90% de las semillas de por al menos 1 año, probablemente esta especie puede formar un banco de semillas abundante en el suelo, como ha sido reportado por otros autores para este sitio de estudio (Martínez-Orea et al., 2013). Sin embargo una latencia no profunda combinada con la indiferencia a la luz, no contribuyen a formación de un banco de semillas abundante a largo plazo (Jankowska y Daws, 2007; Morgan, 1998).

La alta y frecuente producción de semillas de A. elongata, su alta viabilidad e indiferencia a la luz, su dispersión por exozoocoria y su germinación discontinua, determinan que tenga algunos atributos de maleza, lo que podría en parte explicar su éxito para colonizar bosques con distintos grados de perturbación antropogénica (Bryson y Carter, 2004; Lee et al., 2001; Molinillo y Farji, 1993; Vázquez-Santos, 2016). Pese a estos atributos, el hecho de que algunos individuos también están presentes al interior del bosque y que los requerimientos esenciales para su germinación no sólo se concentran en los micrositios con menores coberturas del dosel, a diferencia de otras malezas (Kelly y Skipworth, 1984; Standish y Robertson, 2001), es posible deducir que esta especie posee una plasticidad fenotípica que le permite desempeñarse de diferentes formas en diferentes condiciones ambientales, lo cual explica en parte su asociación con A. religiosa (Sánchez y López-Mata, 2003). Sin embargo, es necesario estudiar las fases posteriores a su germinación para entender los patrones de abundancia y su función ecológica en el bosque de A. religiosa de la cuenca del río Magdalena y en general en los bosques del centro de México.
Agradecimientos
A los proyectos PAPIIT IN201460, PAPIME PE204413. A la M. en. C. Beatriz Zúñiga y al M. en C. Manuel Hernández por el apoyo técnico, a la Dra. Irene Sánchez-Gallén por las recomendaciones en el manejo de los resultados y al Biól. Marco Antonio Romero-Romero por la edición de figuras.
Referencias
Aizen, M. A. y Feinsinger, P. (1994). Forest fragmentation, pollination, and plant reproduction in a Chaco dry forest, Argentina. Ecology, 75, 330–351.
Baskin, C. C. y Baskin, J. M. (2014). Seeds: ecology, biogeography, and evolution of dormancy and germination. San Diego: Academic Press.
Bewley, J. D., Bradford, K. J., Hilhorst, H. W. M. y Nonogaki, H. (2013). Seeds: physiology of development, germination and dormancy. Nueva York: Springer.
Bruna, E. M. (1999). Biodiversity: seed germination in rainforest fragments. Nature, 402, 139.
Bryson, C. y Carter, R. (2004). Biology of pathways for invasive weeds. Weed Technology, 18, 1216–1220.
Calderón-de Rzedowski, G. y Rzedowski, J. (2005). Flora fanerogámica del Valle de México. México D.F.: Instituto de Ecología A.C./ Comisión Nacional para el Conocimiento y Uso de la Biodiversidad.
Chen, J., Franklin, J. F. y Spies, T. A. (1995). Growing-season microclimatic gradients from clearcut edges into old-growth douglas-fir forests. Ecological Applications, 5, 74–86.
Chung, N. J. y Paek, N. C. (2003). Photoblastism and ecophysiology of seed germination in weedy rice. Agronomy Journal, 95, 184–190.
Conner, L. N. (1987). Seed germination of five subalpine Acaena species. New Zealand Journal of Botany, 25, 1–4.
Dobler, C. E. (2010). Caracterización del clima y su relación con la distribución de la vegetación en el suroeste del D.F., México (Tesis). Facultad de Ciencias, Universidad Nacional Autónoma de México. Ciudad de México.
Estación Meteorológica Nacional: 00009037 Presa Ansaldo; última consulta 22.III.2017 http://smn1.conagua.gob.mx/index.php?option=com_content&view=article&id=179:distrito-federal&catid=14:normales-por-estacion
Fahrig, L. (2003). Effects of habitat fragmentation on biodiversity. Annual Review of Ecology, Evolution, and Systematics, 34, 487–515.
Fenner, M. y Thompson, K. (2005). The ecology of seeds. Cambridge: Cambridge University Press.
Figueroa, J. A., León, P., Cavieres, L. A, Pitchard, H. y Way, M. (2004). Ecofisiología de semillas en ambientes contrastantes de Chile: un gradiente desde ecosistemas desérticos a templados-húmedos. En M. H. Cabrera (Eds.), Fisiología ecológica en plantas (pp. 81–98). Valparaíso: Ediciones Universitarias de Valparaíso.
Frazer, G. W., Canham, C. D. y Lertzman, K. P. (1999). Gap light analyzer (GLA), Version 2.0. Simon Fraser University, Burnaby, British Columbia, and the Institute of Ecosystem Studies. New York, EUA.
Galeana, J. M. (2008). Estimación del contenido y potencial de carbono, su valoración económica, en la cuenca del río Magdalena, Distrito Federal, México (Tesis). Facultad de Filosofía y Letras, Universidad Nacional Autónoma de México. Ciudad de México.
García, A. (2002). An evaluation of forest deterioration in the disturbed mountains of western México City. Mountain Research and Development, 22, 270–277.
Gascon, C., Williamson, G. B. y da Fonseca, G. A. (2000). Receding forest edges and vanishing reserves. Science, 288, 1356–1358.
Hopper, G. M., Smith, D. W. y Parrish, D. J. (1985). Germination and seeding growth of northern red oak: effects of stratification and removal pericarp. Forest Science, 31, 31–39.
Jankowska, M. y Daws, M. I. (2007). Impact to red: far ratios on germination of temperate forest herbs in relation to shade tolerance, seed mass and persistence in the soil. Functional Ecology, 21, 1055–1062.
Kelly, D. y Skipworth, J.P. (1984). Tradescantia fluminensis in a Manawatu (New Zealand) forest. I. Growth and effects on regeneration. New Zealand Journal of Botany, 22, 393–397.
Klein, A. L. y Felippe, G. M. (1991). Efeito da luz na germinação de sementes de ervas invasoras. Pesquisa Agropecuária Brasileira, 26, 955–966.
Laurance, W., Ferreira L. V., Rankin-de Merona J. M. y Laurance, S. (1998). Rain forest fragmentation and the dynamics of Amazonian tree communities. Ecology, 79, 2032–2040.
Lee, W. G., Macmillan, B. H., Partridge, T. R., Lister, R. y Lloyd, K. M. (2001). Fruit features in relation to the ecology and distribution of Acaena (Rosaceae) species in New Zealand. New Zealand Journal of Ecology, 25, 17–27.
León, J. D. (2011). Distribución espacial de las propiedades físicoquímicas del suelo y su relación con diferentes variables ambientales en los bosques de Pinus hartwegii y Abies religiosa en la cuenca del río Magdalena, D.F. (Tesis). Facultad de Filosofía y Letras, Universidad Nacional Autónoma de México. Ciudad de México.
Liebsch, D., Marques, M. C. M. y Goldenberg, R. (2008). How long does the Atlantic rain forest take to recover after a disturbance? Changes in species composition and ecological features during secondary succession. Biological Conservation, 141, 1717–1725.
Martínez-Camacho, Y. D. (2015). Ecofisiología de la germinación de Acaena elongata del bosque de Abies religiosa de la cuenca del río Magdalena, México D.F. (Tesis). Facultad de Ciencias, Universidad Nacional Autónoma de México. Ciudad de México.
Martínez-Orea, Y. M., Castillo-Argüero, S., Álvarez-Sánchez, J., Collazo-Ortega, M. y Zavala-Hurtado, A. (2013). Lluvia y banco de semillas como facilitadores de la regeneración natural en un bosque templado de la ciudad de México. Interciencia, 38, 400–409.
Milberg, P., Andersson, L. y Thompson, K. (2000). Large-seeded spices are less dependent on light for germination than small-seeded ones. Seed Science Research, 10, 99–104.
Molinillo, M. F. y Farji, A. (1993). Cattle as a dispersal agent of Acaena elongata (Rosaceae) in the cordillera of Mérida, Venezuela. Journal of Range Management, 46, 557–561.
Morgan, J. W. (1998). Comparative germination responses of 28 temperate grassland species. Australian Journal of Botany, 46, 209–219.
Murcia, C. (1995). Edge effects in fragmented forests: implications for conservation. Trends in Ecology & Evolution, 10, 58–62.
Murcia, C. (1996). Forest fragmentation and the pollination of neotropical plants. En J. Schelhas y R. Greenberg (Eds.), Forest patches in tropical landscapes (pp. 19–36). Washington D.C.: Island Press.
Murdoch, A. J. y Ellis, R. H. (2000). Dormancy, viability and longevity. En M. Fenner (Eds.), The ecology of regeneration in plant communities (pp. 183–214). Wallingford, Reino Unido: CABI Publishing.
Nava-López, M. Z. (2003). Los bosques de la cuenca alta del río Magdalena, D.F., México, un estudio de vegetación y fitodiversidad (Tesis). Facultad de Ciencias, Universidad Nacional Autónoma de México. Ciudad de México.
Orozco-Segovia, A. y Sánchez-Coronado, M. E. (2009). Functional diversity in seeds and its implications for ecosystem functionality and restoration ecology. En A. Gamboa-de Buen, A. Orozco-Segovia y F. Cruz-García (Eds.). Functional diversity of plant reproduction (pp. 175–216). Kerala, India: Research Signpost.
Orozco-Segovia, A. y Sánchez-Coronado, M. E. (2013). La germinación, quiescencia y latencia y longevidad de las semillas. En J. Márquez, M, Collazo-Ortega, M. Martínez-Gordillo, A. Orozco y S. Vázquez (Eds.), Biología de angiospermas (pp. 216–235). México D.F.: Facultad de Ciencias, Universidad Nacional Autónoma de México.
Plummer, J. A., Crawford, A. D. y Taylor, S. K. (1995). Germination of Lomandra sonderi (Dasypogonaceae) promoted by pericarp removal and chemical stimulation of the embryo. Australian Journal of Botany, 43, 223–230.
Pons, T. L. (2000). Seed responses to light. En M. Fenner (Eds.), The ecology of regeneration in plant communities (pp. 237–260). Wallingford, Reino Unido: CABI Publishing.
Rodríguez, I., D’Odorico, P., Porporato, A. y Ridolfi, L. (1999). On the spatial and temporal links between vegetation, climate, and soil moisture. Water Resources Research, 35, 3709–3722.
Roxburgh J. y Kelly, D. (1995). Uses and limitations of hemispherical photography for estimating forest light environments. New Zealand Journal of Ecology, 19, 213–217.
Sánchez, A. y López- Mata, L. (2003). Clasificación y ordenación de la vegetación del norte de la Sierra Nevada, a lo largo de un gradiente altitudinal. Anales del Instituto de Biología. Serie Botánica, 74, 47–71.
Sánchez-González, A., L. López-Mata y Granados-Sánchez, D. (2005). Semejanza florística entre los bosques de Abies religiosa (H.B.K.) Cham. & Schltdl. de la Faja Volcánica Transmexicana. Investigaciones Geográficas, Boletín del Instituto de Geografía, UNAM, 56, 62–76.
Santibáñez-Andrade, G., Castillo-Argüero, S. y Martínez-Orea, Y. (2015). Evaluación del estado de conservación de la vegetación de los bosques de una cuenca heterogénea del Valle de México. Bosque (Valdivia), 36, 299–313.
Saunders, D. A., Hobbs, R. J. y Margules, C. R. (1991). Biological consequences of ecosystem fragmentation: a review. Conservation Biology, 5, 18–32.
Standish, R. J. y Robertson, A. W. (2001). The impact of an invasive weed Tradescantia luminensis on native forest regeneration. Journal of Applied Ecology, 38, 1253–1263
Turner, S. R., Merritt, D. J., Baskin, C. C., Dixon, K. W. y Baskin, J. M. (2005). Physical dormancy in seeds of six genera of Australian Rhamnaceae. Seed Science Research, 15, 51–58.
Vázquez-Santos, Y. (2016). Los hongos micorrizógenos arbusculares en la fenología reproductiva de Acaena elongata L. del bosque de Abies religiosa en la cuenca del Río Magdalena, Cd. Mx., México (Tesis). Facultad de Ciencias, Universidad Nacional Autónoma de México. Ciudad de México.
Vázquez-Yanes, C. y Orozco-Segovia, A. (1993). Patterns of seed longevity and germination in the tropical rainforest. Annual Review of Ecology and Systematics, 24, 69–87.
Vázquez-Yanes, C., Orozco-Segovia, A., Rincón, E. E. A., Sánchez-Coronado, M. E., Huante, P., Toledo, J. R. et al. (1990). Light beneath the litter in a tropical forest: effect on seed germination. Ecology, 71, 1952–1958.
Vleeshouwers, L. M., Bouwmeester, H. J. y Karssen, C. M. (1995). Redefining seed dormancy: an attempt to integrate physiology and ecology. Journal of Ecology, 83, 1031–1037.
Zar, J. H. (1996). Biostatistical analysis. 3ra Edición. New Jersey: Prentice Hall.
